Физика → Районная → 2019 → 10 класс | BeyondOlympiads

В этой теме обсуждаем задачи region олимпиады 2019 года

Это обсуждение публикации https://olympiads.bc-pf.org/physics/region/2019/10

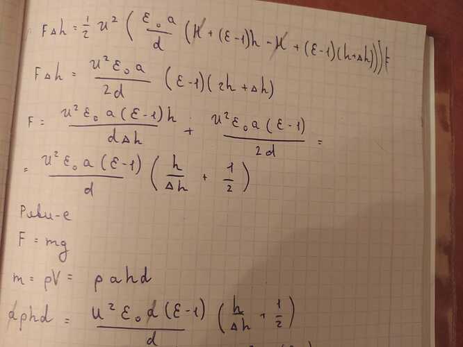
https://cdn.bc-pf.org/olympiads/physics/national/region/2019/phys10-1-tasks.pdf задача 3

все получалось до какого-то момента, почему не уходит Δh ??

у тебя ошибка в математике, на второй фотке первое уравнение неправильное, ты забыл что ( ε-1)(h+dh) должен быть с минусом тогда выйдет (1- ε)dh

Ой, все сошлось да, dh сократилось
(Эпсилон минус один остаётся только)