То, что нужно учитывать при решении:
- Шары состоят из частиц, каждая из которых состоит из отдельных электронов и нуклонов в ядрах
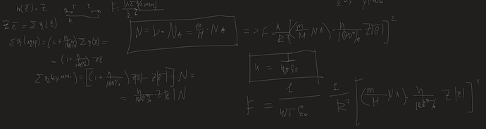
- Суммарный заряд системы равен алгебраической сумме (то есть сумме с учетом знаков) зарядов каждой частицы
- Шар состоит из N кол-во частиц, которую можно легко посчитать формулой из школьной химии: N=N(a)*n, N(а)- число Авогадро, n-количество вещества
- В данной задаче при расчете силы не имеет значение знак заряда, то есть как заряд ядер может превышать заряд электронов, так и заряд электронов может превышать заряд ядер - нам важна только разность. Я условно показал, что заряд ядер превышает заряд электронов
- Заряды шаров естественно одинаковы, так как сами шары идентичны.
- Суммарный заряд в одном шаре считается как разность зарядов ядер и электронов умноженную на количество частиц - это уже логично
4 лайка


