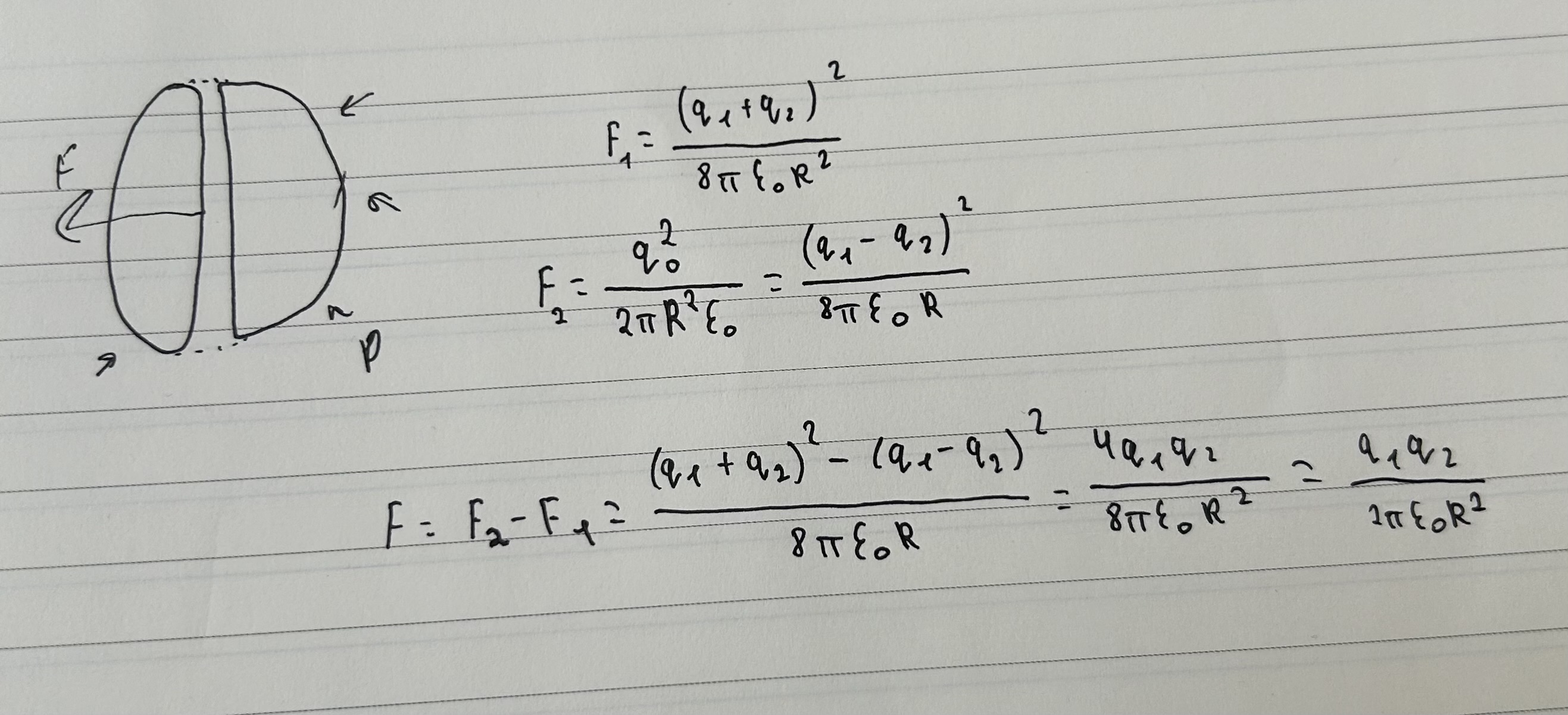
Взаимодействие двух полушаров

Распространено мнение, что тела с одноимёнными зарядами всегда отталкиваются друг от друга. Вовсе нет! Такой эффект наблюдается далеко не всегда. Представьте себе, что сплошной металлический шар радиуса R
распилили пополам, а получившиеся половины сблизили плоскими
сторонами так, что зазор d между ними оказался предельно мал
(d  R). Найдите силу электростатического взаимодействия полушарий с одноимёнными зарядами q1 и q2 (рис.). При каком отношении зарядов они будут притягиваться?
Примечание. Сила, действующая на единицу поверхности заряженного проводника произвольной формы, связана с напряжённостью электрического поля вблизи поверхности тем же соотношением, что и в плоском конденсаторе.
image


Вот до чего я дошел, далее постарался найти силу, но не получилось. Можете помочь с решением?

5 лайков

можете обьяснить что за величина q без индекса

Понял идею с q, но стоит переобозначить и пояснить

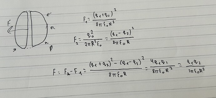
d << R => \sigma = \frac{dq}{ds} ≈ const - (*)

Пусть

q = q_1 + q_2
(*) => q_0 ≈ q_2 - \frac{q}{2}

или

-q_0 = q_1 - \frac{q}{2}

вот картинка поможет, q1>0, q2>0 для конкретности

Полушарики будут притягиваться если притягивание внутр зарядов будет компенсировать отталкивание внешних

4 лайка

Так как зазор очень малый, можно же себе представить вместо двух половинок целый шар. Если бы он был целым, заряд бы распределился равномерно и поле внутри было бы равным нулю. Поэтому заряды на плоских срезах полушаров должны быть разного знака, но равны по модулю, а заряды на внешних поверхностях должны быть одинаковы. q - заряд внешних поверхностей q0 - заряд на плоских срезах

4 лайка

Если интересует расчет внешней силы:

Представим, что металлический шарик - это пустая сфера, в любом случае заряд сконцентрирован на поверхности. Без ничего, шарик разрывает изнутри, поместим его как бы в “атмосферное давление”, так чтобы он был в равновесии

Скажем, что мы чуть-чуть уменшили энергию сферы на \Delta W, газ снаружи совершит работу над сферой \Delta A

\Delta A = -\Delta W <=> -\Delta A = \Delta W
\Delta W = W' - W = k\frac{q^2}{2(R - \Delta R)} - k\frac{q^2}{2R} = k\frac{q^2\Delta R}{R^2}
\Delta A = p\Delta V = -4\pi R^2\Delta Rp

Отсюда находим

p = k\frac{q^2}{8\pi R^4}
F_{сн} = pS = \frac{1}{4\pi \epsilon_0} \frac{q^2}{8\pi R^4} 4 \pi R^2 = \frac{q^2}{8\pi \epsilon_0 R^2}

Вроде так, может быть можно посчитать и непосредственным интегрированием

(Здесь все еще использую q = q_1 + q_2 )

8 лайков


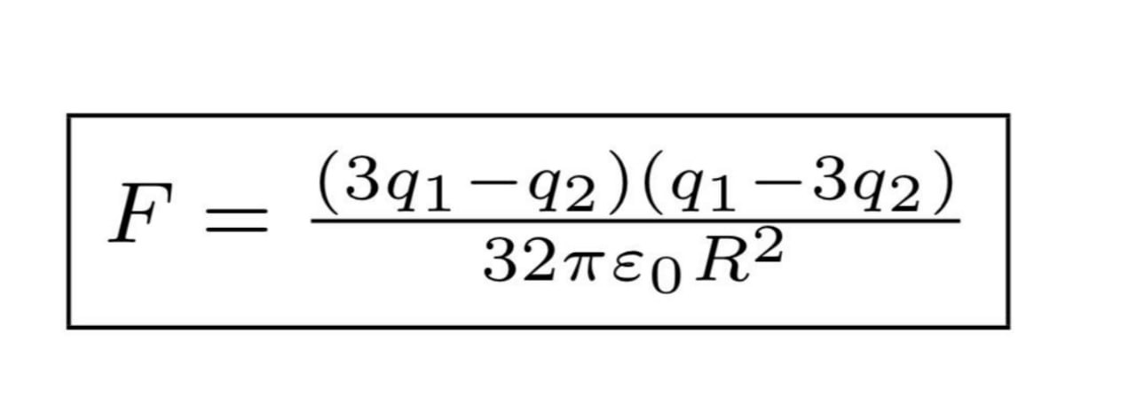
Как то так, ну я тут поспешил где то R-ы забыл но все ровно, получился красивый но неправильный ответ

3 лайка

какой ответ, может поможет :melting_face:

5 лайков

брух, я не знаю как здесь S = piR^2, метод и давление тоже самое, непонятно правда откуда ета формула взялась

2 лайка

Если взять произвольную заряженную поверхность, можно рассмотреть его бесконечно малую часть как плоскость с постоянной поверхностной плотностью \sigma. Напряженность её поля E^{(i)} находится через теорему Гаусса.

E^{(i)} \cdot 2S = \frac{\sigma S}{\varepsilon_0} \iff E^{(i)} = \frac{\sigma}{2\varepsilon_0}

Теперь найдем напряженность в пространстве по две разные стороны плоскости. По принципу суперпозиции она находится через векторное сложение напряженностей полей внешних тел и нашей плоскости (E^{(e)} и E^{(i)} соответственно).

\vec{E}_1 = \vec{E}^{(e)}_1 + \vec{E}^{(i)}_1 \\ \vec{E}_2 = \vec{E}^{(e)}_2 + \vec{E}^{(i)}_2 \\

Вблизи поверхности вектор \vec{E}^{(e)} меняется на бесконечно малые величины, поэтому,

\vec{E}^{(e)}_1 = \vec{E}^{(e)}_2

Заменим их с помощью \vec{E}^{(e)}. И так как {E}^{(i)}_1 = {E}^{(i)}_2 = {E}^{(i)} = \frac{\sigma}{2\varepsilon_0}, а сами векторы \vec{E}^{(i)}_1 и \vec{E}^{(i)}_2 противоположны друг другу, выходит следующее

E_2 - E_1 = \frac{\sigma}{\varepsilon_0} \iff \sigma = \varepsilon_0(E_2 - E_1) \\ \vec{E}^{(e)} = \frac{\vec{E}_1 + \vec{E}_2}{2}

Сила, действующая на единицу поверхности, зависит только от заряда поверхности и внешнего поля. \vec{f} = \vec{F}/S. И так,

\vec f = \sigma \vec{E}^{(e)} = \frac{\sigma (\vec{E}_1 + \vec{E}_2)}{2} = \frac{\varepsilon_0 (\vec{E}_1 + \vec{E}_2)(E_2 - E_1)}{2}

Теперь можно и приступать к решению самой задачи. Стоит рассмотреть поверхность полушара как две части: плоский диск и полусфера. С плоским диском все довольно несложно, остается только найти силу, действующую на полусферу.

Заряды на полусферах можно рассмотреть как заряды на поверхности целого шара. Поэтому напряженность поля внутри полушаров E_0 = 0, а возле их внешних поверхностей она равна

E = \frac{Q}{4\pi\varepsilon_0 R^2},

где Q = q_1 + q_2. Вектор \vec E будет всегда направлен по нормали к поверхности во внешнюю сторону, так как это проводник. Тогда сила, действующая на бесконечно малую часть этой полусферы, d\vec F = \vec{f} dS, где

\vec{f} = \frac{\varepsilon_0 (\vec{E}_0 + \vec{E})(E - E_0)}{2} = \frac{\varepsilon_0E\vec{E}}{2} \\ f = \frac{Q^2}{32\pi^2\varepsilon_0 R^4}

Если направить d\vec S по внешненаправленной нормали к поверхности полусферы, то так как векторы d\vec S и \vec E, а следовательно и \vec f, направлены одинаково, выходит, что \vec{f} dS = f \cdot d\vec S. Из этого следует,

\vec F = \int_s d\vec F = \int_s \vec{f}dS = f \int_s d\vec S

Чтобы найти \int_s d\vec S нужно посмотреть на полусферу по направлению к \vec F. Если выпустить в этом направлении параллельные пучки света, полусфера будет создавать тень с площадью |\int_s d\vec S| = S_s = \pi R^2. Отсюда выходит, что сила, действующая на полусферу, равна

F = \frac{Q^2}{32\pi\varepsilon_0 R^2}

Далее осталось сложить эту силу с другой силой, действующей на плоскую сторону, при этом учитывая их направление.

7 лайков