
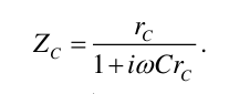
Почему в решение они брали импеданс параллельно если и намеку на это не было . Можете подсказать пожалуйста

Здесь имеется в виду, что конденсатор сам по себе разряжается, даже если он не подключен. А это возможно только тогда, когда между пластинами кондесатора есть некоторое соединение через резистор.