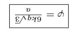
В вершинах правильного треугольника расположены точечные заряды q, 2q и 3q. Найдите потенциал электростатического поля этих зарядов в центре треугольника. Сторона треугольника равна a.

У меня ответ не совпадает можете подсказать где у меня ошибка?
В вершинах правильного треугольника расположены точечные заряды q, 2q и 3q. Найдите потенциал электростатического поля этих зарядов в центре треугольника. Сторона треугольника равна a.

У меня ответ не совпадает можете подсказать где у меня ошибка?
В каком соотношении точка пересечения медиан делит медианы?
Я не понял ваш вопрос.
А как у вас 2/3h вышла?
Медиана делится точкой О в отношении 2:1, тогда вся медиана состоит из 3-х частей, где расстояние от центра до заряда - это 2/3 этой длины
Ааа понял спасибо