2 лайка
-
переходите в систему отсчета зеркала и преобразованиями Галилея находите скорость тела относительно зеркала
-
в системе отсчета зеркала строите изображение и находите как оно движется. Далее выходите из системы отсчета зеркала преобразованием Галилея
5 лайков
я делал это первый пункт вышлел второй чето не смог решить
2 лайка
Вот решение:
Спойлер
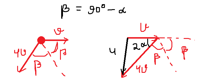
Перейдя в систему отсчета зеркала, шарик будет со скоростью 4v, столько же сколько и у изображения, находим углы (см. рис.) и далее выходим из системы отсчета зеркала, теперь нам надо векторно сложить полученный вектор скорости изображения и вектор скорости зеркала:
записываем теорему косинусов:
![]()
Зная, что cos(2a) = cos(60) = 1/2, получаем:
![]()
5 лайков


