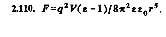
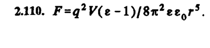
На расстоянии г от точечного заряда q расположен
тонкий диск из диэлектрика с проницаемостью с. Объем диска
V, его ось проходит через заряд q. Считая, что радиус диска
значительно меньше r, оценить силу, действующую на диск. Помогите решить пожалуйста
Получили такой же ответ как в книге.
Здесь знак “минус” означает, что сила направлена в сторону убывания радиуса, то есть к заряду q
Это логично, потому что диэлектрик поляризуется: ближняя к заряду сторона приобретает противоположный заряд ( отрицательный, если q>0), а дальняя — такой же (положительный). В неоднородном поле (где напряжённость убывает с расстоянием) ближний заряд испытывает большую силу, чем дальний, поэтому диск притягивается к точечному заряду.
2 лайка


