1 лайк
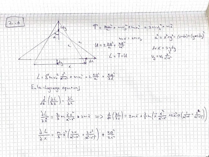
Те кто хорошо шарит за Лагранджа, можно ли её решить при помощи неё?(пробовал че то намудрил)
Upd.
После долгих мучений эта задачка решилась(вроде как). Кто нибудь может проверить правильность моего решения? И есть ли другие(более легкие) пути решения этой задачи?
Например: через маленькое изменение потенциальной энергии в кинетическую.
3 лайка
Твое решение правильное. Однако есть более простое решение данной задачи через 2 закон Ньютона. Можно было просто расписать силы вдоль одной из нитей и из уравнения связи получить требуемое ускорение.
6 лайков
Почему ускорение среднего шарика направлено вниз?
Там написано
Не может ли оно в силу симметрии быть направленным вверх?
построй логическую цепочку деиствий которое привело тебя к тому что а направлено вверх
1 лайк




