Добрый день.Помогите,пожалуйста,с некоторыми пунктами задачи с области 2022 за 10 класс.Готовиться к олимпиаде начал в начале октября этого года.Вроде расписал решение,но вот это l+h/2…Как рассуждать тут? И у меня не получается решить систему уравнений конечную,помогите,пожалуйста.Где можно найти подобные задачи для закрепления?
Задача
Однородная тонкая веревка находится в состоянии равновесия на блоке, радиус которого много меньше ее длины 2𝑙. Ось блока горизонтальна и от очень слабого толчка веревка приходит в движение. Найдите длину h, на которую опустится один из концов веревки в тот момент, когда она перестает давить на блок. Ускорение свободного падения равно 𝑔.
Здесь нужно использовать второй закон Ньютона в дифференциальной форме F=dp/dt. Вы умеете пользоваться математическим анализом?
Окей, это правильное продвижение
Здесь тоже правильный подход, но ещё раз пересмотрите знаки.
Постарайтесь ещё раз аккуратно записать закон сохранения энергии – вы близки к ответу.
Увы,но в а мат.анализе я не силен.Прийдется изучать да?
Конкретно для этой задачи – нет. Для общей подготовки – обязательно.
Спасибо.вроде по ответу подходит,который приводится к этой задаче,но дальше ничего не могу понять.Либо я не понимаю,какой именно ЗСЭ вы имеете ввиду (в каком месте)Там ещё фотографии местами перепутались.
Извините,не могли бы вы привести решение этой задачи с использованием закона в дифференциальном виде? Попробую разобрать с учительницей со школы.
Да на самом деле здесь необязательно так глубоко разбираться) Вопрос был к тому, понимаете ли вы суть слагаемого \displaystyle\frac{dm}{dt}v при дифференцировании \displaystyle\frac{d(mv)}{dt}. Но я взглянул на решения и увидел вроде бы правдивые наработки, так что конкретно сейчас это уже не принципиально.
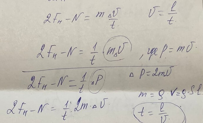
Хотя нет, само продвижение к этому ответу определённо неверно. F_н – это сила натяжения на уровне блока, а поскольку радиус блока очень мал, то можно считать, то эта сила тянет очень маленький кусок верёвки, лежащий на самом блоке, вниз по обе стороны (это вроде как подразумевалось, но по рисунку я это не видел)
Итак, \displaystyle F=2F_н - N, и эта суммарная сила направлена вниз. К какому результату это приводит? К тому, что за очень малое время \Delta t проходит \Delta l верёвки и меняет направление своей скорости на противоположное. Начальный импульс этого кусочка был направлен вверх, а конечный – с таким же по модулю, но вниз. Общее изменение импульса \Delta p =\Delta m\cdot 2v, а по закону Ньютона
Остальное уже понятно.
Я не указал на рисунке ,но я имел ввиду,что две силы натяжения направлены вверх .Одна на длинный кусок веревки,а на другая на короткий.Получается 2 ЗН я записал для
системы.
А непонятно мне вот это «l-h/2” Я в этом месте «подтянул за уши» решение задачи .Потупил 30 минут и забил,убрал в ящик.Сейчас вернулся,потому что нашел ваш сайт)
Подскажите,пожалуйста,по какой книге я могу изучить дифференцирование базовое для решения олимпиад? И где можно найти подобные задачи для закрепления? Просто задачи с веревкой,имеющую массу,обычно сводилисься к методу «виртуальных перемещений»,исходя из моего скудного трехмесячного опыта хахахах))
Попробуй вообразить эти две части нити, как отдельные две нити, у которых центр масс по середине их длины. Смотря на решение понятно, что тут брали высоту с 0 координатой в точке оси блока. Вот теперь используя всю эту информацию можно например понять, что в начале центр масс левой и правой часть нити были на расстоянии \displaystyle\frac{l}{2} от оси блока и потенциальная энергия соответственно и расписывается как на рисунке.
Пока не совсем понимаю твое объяснение.Мб из-за того,что сейчас сижу с магнетизмом параллельно .Смотрю что-то похожее на задачу последнюю с области 2021 за 10 класс.Завтра сяду на чистую голову,а потом отчитаюсь)Спасибо







