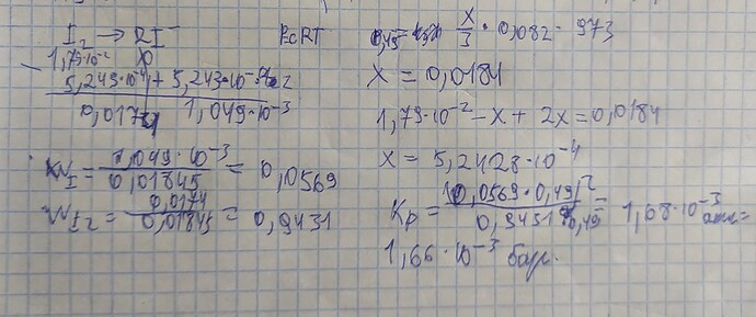
Сосуд объемом 3 л, содержащий 1.79 * 10^–2 моль I2, нагрели до 973 K. Давление в сосуде при равновесии оказалось равно 0.49 атм. Считая газы идеальными, рассчитать константу равновесия при 973 K для реакции
I_2 (г) = 2I (г).
Ответ: 1.62*10^-3
Сосуд объемом 3 л, содержащий 1.79 * 10^–2 моль I2, нагрели до 973 K. Давление в сосуде при равновесии оказалось равно 0.49 атм. Считая газы идеальными, рассчитать константу равновесия при 973 K для реакции
I_2 (г) = 2I (г).
Ответ: 1.62*10^-3
Тут можно посчитать конечную моль через P=CRT и зная конечную,найти общую моль равновесную,а затем уже зная моли вычислить Kp.
Вот,но у меня тут погрешность есть не большая на 4*10^-5,не знаю насколько это критично,но вроде бы верно.
Спасибо большое