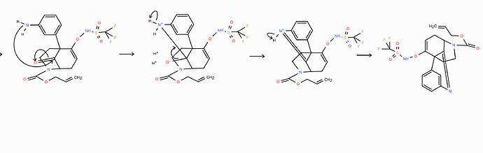
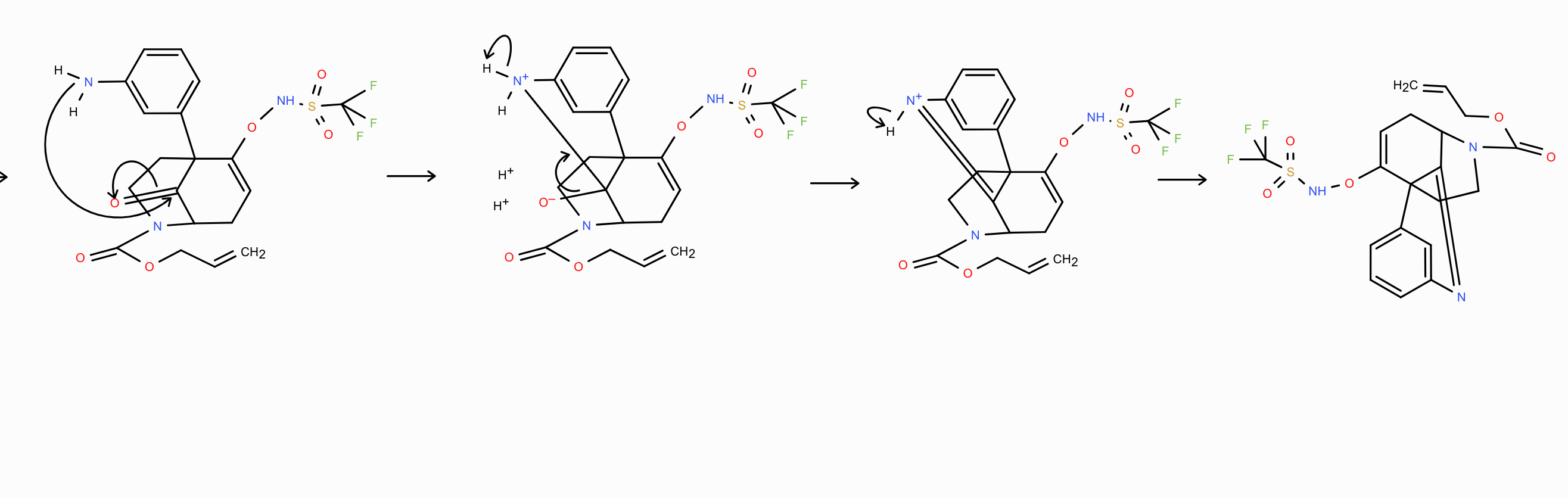
Всем привет подскажите ребята вот здесь двойная связь незнаю куда ушел) исчез просто до него я получаеться сделал
1 лайк
По вашим вопросам я понял что вы не понимаете механизм, так как присылаете уже с ним. Вы изучали что то по органике ? Кажется стоит начать с базы
-\ce{Tf}=-\ce{S(O)2}-\ce{CF3}
-\ce{Tf}\neq-\ce{NH}-\ce{S(O)2}-\ce{CF3}
А что в последующих стадиях? Возможно опечатка и двойная связь никуда не делась
1 лайк
нет только изучаем, что можете по рекомендовать?
рахмет


