Физика → Областная → 2022 → 10 класс | BeyondOlympiads

1 тур (Задачи)1 тур (Задачи)2 тур (Задачи)2 тур (Задачи)2 тур (Решения)2 тур (Решения)1 тур (Решения)1 тур (Решения)


Это обсуждение публикации https://olympiads.bc-pf.org/physics/oblast/2022/10


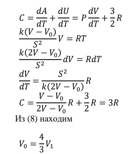
Почему V0=4/3V1? Если при решение уравнений выходит V0=4V?

PS: 2 задача на области

1 лайк

Это зависит от того какой был баланс с уравнения Менделеева Клапейрона. Сначало теплоемкость с обьемом V было R, потому когда стало 3R там обьем изменился на V1.
pV=uRT
pV1=u3RT
V=V1/3

3 лайка

Теплоемкость не влияет же на уравнения уравнения Менделеева Клапейрона или у меня есть пробелы, что за тема?

1 лайк

Обычно при повышений температуры в некоторых интервалах теплоемкость будет увеличивается, но также при определенных интервалах теплоемкость даже при повышений температуры, стоит независимо. Вот при таких интервалах обычно меняется сам объем(или давление), если оставить на больших температурах, то обьем меняется. А сама формула чуть помогает
𝐶 =𝑑𝐴/𝑑𝑇 +𝑑𝑈/𝑑𝑇 = 𝑃*𝑑𝑉/𝑑𝑇 +Сv
Можешь об этом тут почитать

2 лайка

Не понимаю один момент в решение
Почему там R+x, хотя должно быть 2R-x по рисунку

Всё нормально: первая строчка таблицы указывает потенциал ближайшей точки сферы к заряду q, вторая строчка записана для самой дальней точки сферы.

5 лайков

Проблема во второй строчке, расстояние от заряда Q до дальней точки должно же быть 2R-x, но они показали что R+x в уравнении. это означает что это у них ошибка? Но уравнение выходит через R+x почему-то

Ох… больно знакомая ситуация. На самом деле здесь всё правильно, просто x - расстояние от центра до Q (на рисунке сместилось и выглядит так, будто это расстояние от Q до поверхности шара)

4 лайка

А ещё помнится, что там в конце решения закон сохранения момента импульса неправильно расписывали)

4 лайка

Все понятно спс

Без комментариев

1 лайк