Можете объяснить механизм окисления алкенов и алкинов с помощью КМnO4(H3O+)
1 лайк
Я понял что там С=С связь меняется на =О водороды на -ОН, можете объяснить этот процесс как в макмурри изогнутыми стрелками и электронными парами
1 лайк
Если в гугл написать “alkene knmo4 mechanism”, выйдет полно картинок с похожим механизмом. Вот картинка с презентации об алкенах University of Alberta
В начале так же как с озоном и \ce{OsO4} идет [3+2]-циклоприсоединение, а затем тоже два варианта, либо как с озоном в два карбонила, либо как с \ce{OsO4} два гидроксила, в зависимости от условий.
А если среди получившихся карбонилов есть альдегид, то он дальше окисляется до карбоновой кислоты:
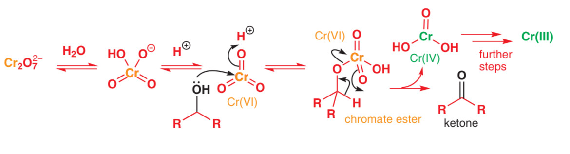
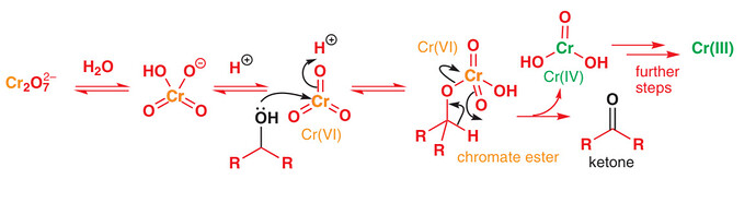
Кстати окисление спиртов и альдегидов реактивом Джонса (\ce{CrO3} и кислота) тоже идет по аналогичному механизму.
Последние две картинки из клейдена. Надеюсь помог!
Если хочешь могу как бонусом перечислить реакции окисления спиртов и альдегидов часто встречающихся в олимпиадах.
6 лайков


