Как подготовиться к экспериментальному туру, что надо знать по типу погрешности и т.д?
1 лайк
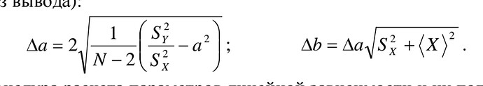
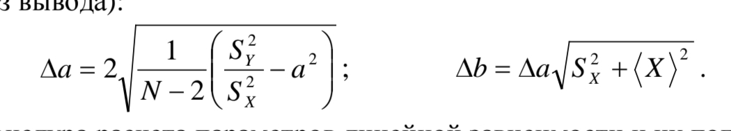
A. И. Слободянюк “Физическая олимпиада: экспериментальный тур”. https://share.google/0d6tg1lv42jII9vQ7. Это основная формула погрешности(МНК), только когда считаешь калькулятаром a - b меняешь местами. Если прочитал Слободянюк, то советую почалить прошлые экспериментальные туры олимпиады БелФо
3 лайка
Еще советую тг канал Opopsanigiri Telegram: View @opopsanigiri Но там более сложные эксперименты
1 лайк
как подготовка идет к 1 му туру оь этапа я бы хотел спросить какие результаты вы ждете я например ни к чему не готов а в вас и какие темы стоит повторить перед самой олимпиады?
