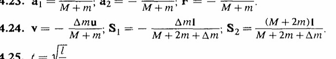
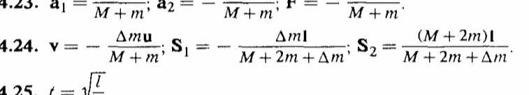
На противоположных концах лодки стоят два человека одинаковой массы m и перебрасываются мячом массы dm. Скорость брошенного мяча относительно воды u.Найти скорость движения лодки V в течение времени перелета мяча с одного конца лодки на другой. Найти смещения лодки S1 и мяча S2 относительно воды после каждого перелета мяча вдоль лодки, если длина пути мяча вдоль лодки равна l.
что не так с моим решением кстати в условий нету массы лодки а в ответе есть высший класс
1 лайк
с чем именно помочь, скажу только, в условии дан вектор относительной скорости мяча, и все, то что просят найти тоже векторы, так что лучше записывать все как есть
1 лайк
ну смотри в ответе фигурирует только M+m я хочу узнать почему автор не учитывает массу второго человека?



