Расчет specific rotation


Почему в расчете specific rotation используют дм?
Дм ведь не будет сокрощаться с см3.
Я подумала отпечатка,но в примере ниже также исползуют дм

и если в инете поискать,также почти все ресурсы исползуют дм.
Но почему тогда не напишут что единица измерения specific rotation [(deg×cm3)/(g×dm)].
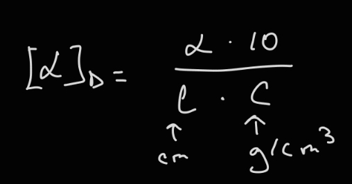
Так вот, на это просто забили иначе формула выглядела бы как то так:
SmartSelect_20230718_130549_Samsung Notes
И это здесь просто нужно запомнить что исползают дм?
Но врядь ли я потом на олимпиаде смогу вспомнить что там дм а не сантиметры.

2 лайка


Получается в McMurry отпечатка.

2 лайка

Если посмотреть на таблицу в вики, то там значения представлены как раз

с вот такими единицами измерения.

Я немного сомневаюсь, что вас на олимпиаде будут проверять знаете ли вы, что так сложилось, что для расчета используется длина в дециметрах и концентрация в г/дм3 или г/см3. Но кто знает, к составлению я больше отношения не имею.

3 лайка