2.125 Иродов терма

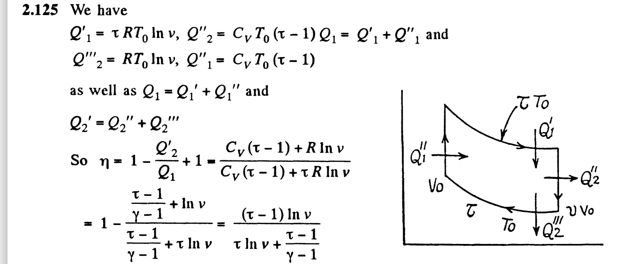
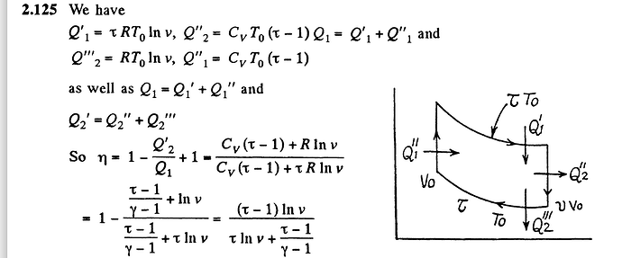
Найти к.п.д. цикла , состоящего из двух изохор и двух изотерм, если в пределах цикла объем изменяется в v раз, а абсолютная температура-в t раз. Рабочим веществом является идеальный газ с показателем адиабаты.

Вопрос в решении, почему приращение температуры в Q2’’ (t-1)? Разве там не (1-t)?

В формуле для кпд уже стоит минус, который ты хочешь учесть, поэтому там берут модуль

1 лайк

Чет не пон все равно

КПД записывается как \frac{Q_+-Q_-}{Q_+}, тут “+” тепло, полученное от нагревателя, а “-” тепло, отданное холодильнику. Как видишь, в числителе мы их вычитаем, то есть там уже учтено то, что тепло полученное от холодильника отрицательное. Тут чувак получается записал Q_2 ^{''}=-C_VT_0(1- \tau), потому что данное тепло газ отдает

2 лайка

более простым способом является найти площадт под графиком , и сказал что это работа совершенная за цикл , а потом найти количество теплоты , полученного нагревателем

1 лайк

Как ты площадь найдешь

3 лайка

вот это да, теперь жесткий пон

1 лайк