Кароче начао чалить теорию из Дорохова Прохорова и не понял как они вывели формулы
На эту
Пожалуйста можете показать как они это сделали?
Кароче начао чалить теорию из Дорохова Прохорова и не понял как они вывели формулы
На эту
Я конечно не чалила ДороховаПрохорова, но пока что я вижу замену А и В на численные значения. Может они по параграфу объясняют что такое А и В?
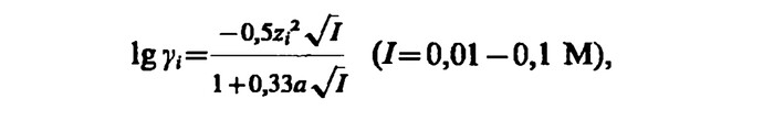
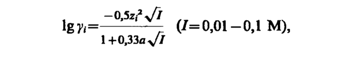
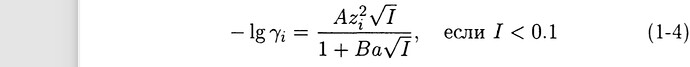
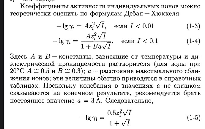
А и Б это постоянные для разных ионов. Не помню че это такое, но Б часто принимается за 0.33 (А это вроде чето связанное а размерами ионов). В Золотове есть, прочитайте
Вы так подробно объясняете))
Вы можете открыть книгу и прочитать что они означают. А еще я эту тему вообще н е встречал в олимпиадах
А что вы хотите видеть в объяснении констант? Вы должны увидеть, что серьезных математических преображений в двух ваших формулах не имеется, и как такового «вывода» там тоже нет. Открыв данную главу, первое, что я увидела - был целый параграф по объяснению этих обозначений.
Если ваш вопрос заключается в другом - пожалуйста переформулируйте.