1 лайк
just so you know
Честно я не понял что они сделали в начале какие именно значения подставили
1 лайк

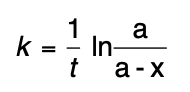
Вы поняли откуда они эту формулу взяли?
Да знаю эту формулу
1 лайк
ну вот они просто посчитали константы k для каждого времени из таблицы: 10, 20, 30, 45, 60, 80, 100
Ну это понятно но почему то не выходит
2 лайка
Ну кстати у меня тоже другие цифры выходят, но суть та же - они не одинаковые
А еще, по идее, k=\frac{1}{t} \ln \frac{C_0}{C}, так что вычитать в знаменателе не нужно
1 лайк
Хмм попробовал и 2 порядок вообще не сходится
А почему С=0,1М?
2 лайка
потому что после смешения равных объемов концентрация понизится в два раза
1 лайк
Аа, спасибо огромное вам за помощь
1 лайк


