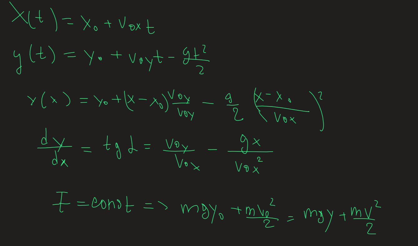
Тело брошено горизонтально с горы, высота которой h =80м с начальной скоростью v0 =25 м/с. Найти перемещение и угол, который составляет перемещение с горизонтом, между двумя точками полета тела, в которых скорости соответственно v1 =30 м/с и v2 =40 м/с.
посмотрите правильно ли я решил? ответы вроде как совпадают 51.7м в книге а мой 50.6м
ЕСЛИ НЕ ХОТИТЕ РАЗГЛЯДЫВАТЬ КАРТИНКУ то просто чекните шаги решения, если они правильные значит задачу смог решить:)
- нашел t1 и t2 когда скорости стали равны 30 и 40 м/с.
- нашел координаты тела в моменты времени t1 и t2
- нашел разности координат и использовал теорему пифагора чтобы найти длину вектора перемещения

