Химия → IChO → 2017 | BeyondOlympiads

Подготовительные (задачи)Подготовительные (задачи)Теория (задачи)Теория (задачи)Практика (задачи)Практика (задачи)Подготовительные (решения)Подготовительные (решения)Theory (solutions)Theory (solutions)Practical (solutions)Practical (solutions)Preparatory (problems)Preparatory (problems)Practical (problems)Practical (problems)


Это обсуждение публикации https://olympiads.bc-pf.org/chemistry/s/icho/2017

[quote]
Задача 5. Реакция конверсии водяного газа

В стремлении к более экологичному производству энергии большие перспективы имеют топливные элементы из-за способности генерировать электричество непосредственно в химических реакциях, производя экологически безопасные побочные продукты. В частности, для водородного топливного элемента единственным “отходом” является вода.

Чтобы использовать топливный элемент в промышленных масштабах, требуется непрерывное производство водорода, подаваемого в блок топливных элементов. Одним из вариантов массового производства водорода для этой цели является конверсия углеводородного топлива водяным паром. Однако такой процесс часто приводит к смеси продуктов из \ce{H2}, \ce{CO2} и \ce{CO}. При этом \ce{CO} не только токсичен для человека, но еще и “отравляет” электроды топливного элемента. Обратимая реакция конверсии водяного газа (WGS), \ce{CO + H2O <=> CO2 + H2}, является одним из методов превращения нежелательного \ce{CO} в \ce{CO2} и полезный \ce{H2}. Эффективность этой реакции сильно зависит от используемого твердого катализатора.

5.1) В одной из схем в реактор WGS с катализатором непрерывно поступает эквимолярная смесь \ce{CO} и водяного пара при 0^\circ \text{C} и атмосферном давлении. Принимая, что эффективность превращения реагентов в продукты на данном катализаторе равна 95.0% и что в нем практически достигается равновесие, рассчитайте изменение свободной энергии в данной реакции.

5.2) Предположим, что в опыте поверхность катализатора доступна молекулам реагентов и скорость измерялась в начальный момент времени. В таблице приведены значения начальных скоростей, полученные при различных начальных давлениях \ce{CO} и \ce{H2O}.

\begin{array}{|c|c|c|c|} \hline \text{Опыт} & P_{\ce{CO}}, \pu{атм} & P_{\ce{H2O}}, \pu{атм} & dP_{\ce{H2}}/dt, \pu{атм с-1} \\ \hline 1 & 0.10 & 0.90 & 4.0 \times 10^{-4} \\ \hline 2 & 0.15 & 0.85 & 5.6 \times 10^{-4} \\ \hline 3 & 0.25 & 0.75 & 8.2 \times 10^{-4} \\ \hline 4 & 0.28 & 0.72 & \text{X} \\ \hline \end{array}

Заполните пропуск X в таблице.
[\quote]

Решая данную задачу у меня возник вопрос. Почему во 2 пункте решили, что порядки будут 100% первые для обоих реагентов? Я решал систему уравнений и у меня идеально подошел порядок по водороду 0.9425, а по CO 0.8, константа выходила равной 0.0038121 атм^(-1)*сек^(-1) и ответ вышел rate= 0.000883 атм/сек

Вот их решение:

5.2) the kinetics data given reflects the forward rate of the EGS reaction. The only rate law that is consistent with the given data is r_f = k_f P_{\ce{CO}} P_{\ce{H2O}}, and k_f = 4.4 \times 10^{-3}~\pu{atm-1 s-1}.

Thus, \text{X} = (4.4 \times 10^{-3}~\pu{atm-1 s-1})(0.28~\pu{atm})(0.72~\pu{atm}) = 8.9 \times 10^{-4}~\pu{atm s-1}.

1 лайк

принимается, что порядок должен быть целым числом, а причина почему регрессия не дает целый “1” в погрешности экспериментального измерения скорости/давлений

2 лайка

Понятно, просто бывает такое что порядок получается 1/2 либо 3/2 и я один раз встречал что порядок вообще был что то в районе 0.85 (или другое подобное число), поэтому подумал что в данной задаче похожий случай

Скорее всего, это было что-то наподобие эффективного порядка по какому-то соединению. Обычно такое встречается когда протекают параллельные реакции, в которых порядок по рассматриваемому соединению различается. А в данной задаче вряд ли может такое получиться.

2 лайка

То есть они словно рассматривают относительный порядок для двух реакций?

Не совсем понял что ты имеешь ввиду. Условно порядок 0.85 по какому-то соединению может быть если это соединение участвует параллельно в двух реакциях: в одной реакции порядок по этому соединению равен 0.5, а в другой реакции равен 1. Тогда если ты каким-то образом можешь измерить начальные скорости расходования этого соединения, то ты экспериментально получишь какой-то порядок в диапазоне 0.5 < x < 1 (ввиду погрешности измерения, порядок может и вне диапазона попасть, но думаю суть ясна).

Хотя не совсем уверен в своем ответе.

1 лайк

Нет, просто если у тебя есть сложный механизм и ты находишь общую формулу скорости реакции через квазистационар/квазиравновесное приближение, у тебя может получиться что-то типа

r = \frac{k_1 [A][B]}{k_2[A]+k_3[B]}

И вот в зависимости от значений k_2,k_3 у тебя может быть нулевой порядок по [A] (если, например, k_2\gg k_3), может быть первый, а может и что-то посередине.

Как можно понять, что здесь не тот случай? Да никак, на самом деле. Я думаю, что такой вопрос мог бы быть поводом для довольно жарких дискуссий жюри.

Но наверное можно считать, что если только вы не выводите точную формулу скорости основываясь на механизме перед тем, как вас спрашивают порядок, а сразу просят найти порядок просто по концентрации и значению скорости, можно считать, что допускается, что порядок целый.

2 лайка

Буду начеку впредь


При температуре 22,2 оС 0.10 моль идеального газа A расширяется от 0.200 дм3
до 2.42 дм3
. Для этого процесса рассчитайте величины: работы (w), теплоты (q), изменения
внутренней энергии (U), изменение энтропии системы (Ssys), изменение энтропии среды
(Ssurr) и изменение энтропии вселенной (Suniv), с учетом того, что этот процесс
проводится обратимо и изотермически против внешнего давления 1.00 атм.

почему мы не можем использовать формулу W=-nRTln(\frac{V_2}{V_1})?

2 лайка

и почему S_{sur}=-\frac{Q}{T} ,а не S_{sur}=\frac{Q}{T}

w = - p * \Delta V Зачем так усложнять если есть эта формула, и во вторых у тебя Q = — 225 J а не +

1 лайк



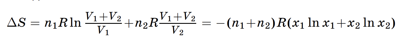
почему мы не умножили на -(n_1+n_2)?

4 лайка

в решении написано +225дж

а да спутал сорян

1 лайк

При расширении газа deltaS=nRIn(V2/V1)

Хороший вопрос. На самом деле, его можно и нужно использовать, если исходить только из представленных условий в задаче. Однако, спешу отметить, что задача неправильно переведена. Снизу я предоставил оригинальный перевод задачи, где говорится, что расширение необратимое, в то время как в переведенной версии расширение обратимое.

Потому что мы рассчитываем изменение энтропии и свободной энергии Гиббса на один моль. А так, да, надо умножать на n_{1}+n_{2}, если мы хотим рассчитать конкретные значения энтропии и энергии Гиббса в процессе из условия

6 лайков

спасибо. а не знаете ли вы почему там -Q в энтропии среды?

Если система получает Q теплоты, то окружающая среда теряет Q теплоты.

1 лайк