Baha
(Bakhytzhan Nurkhanov)
1
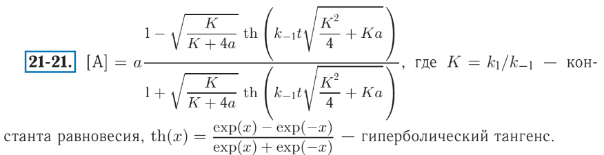
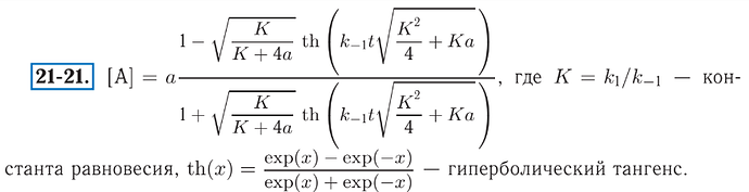
Дана кинетическая схема:
A \underset{k_{-1}}{\overset{k_1}{\rightleftharpoons}} B +C
Решите кинетическое уравнение для этой схемы ([A]_0 = a, [B]_0 = [C]_0 = 0) и найдите зависимость концентрации вещества A от времени.
Чёт не нашёл ошибку в своем решении. Помогите решить
4 лайка
DrMrmld
(Azamat Zhaksylykov)
2
Переход из 2) в 4) у тебя какой-то странный. Может скобки не так раскрыл? И x тоже пропал в этом переходе. До этого места вроде все верно.
1 лайк
Baha
(Bakhytzhan Nurkhanov)
3
Я просто подумал зачем мне писать всё выражения если я могу упростить отдельные части, и потом подставить в x. Я написал более понятную версию
3 лайка
Sammael
(Илья)
4
А ты котангенс достань для x или для A, вдруг у тебя верно всё