
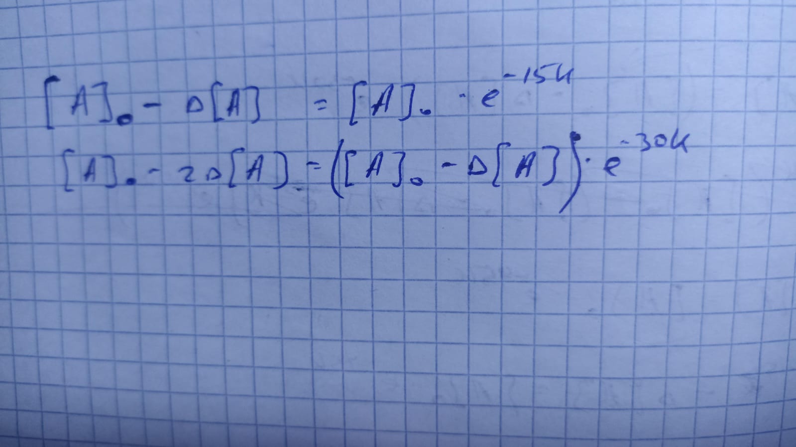
В реакции 1-го порядка за 15 мин прореагировало определённое количество исходного вещества. За последующие 30 мин прореагировало точно такое же количество вещества. Чему равна константа скорости? Сколько времени потребуется после этого, чтобы прореагировало в два раза меньшее количество вещества?
Учитывая то, что реакция первого порядка смог написать лишь два уравнения с тремя неизвестными
Не понимаю как решать задачу
