
Для газофазной реакции n-го порядка nA → B выразите скорость образования вещества B через суммарное давление.
Как мог получиться такой ответ?
Что такое P и P0?
Я понимаю что это давления, но что за давления?
2 лайка
P-конечное давление
P0-начальное давление
Т.к. реакция у нас газофазная,берем вместо концентрации,давление
5 лайков
По сути интегрировать вообще не надо
P - общее давление, P_0 - начальное давление А
4 лайка
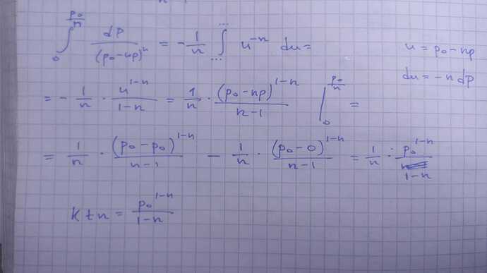
Прошло время, я немного научился интегрировать и все такое
В итоге проинтегрировав получил такое выражение
Подскажите пж что дальше, как из этого получить скорость реакции?
Упс, вижу ошибку, ща исправлю кое что
Вот дубль 2, но я все еще не понимаю что делать дальше и не удивлюсь если и тут есть ошибка)
8 лайков
ребята вы чего Мадияр аби же сказал, что не нужны тут никакие интегралы.
(то что в правом верхнем углу в квадрате - это ошибка, не обращайте внимания)
6 лайков
Эта задача уже обсуждалась здесь:
4 лайка
Ух ты, оказывается все и вправду было просто
Спасибо большое всем!
2 лайка



