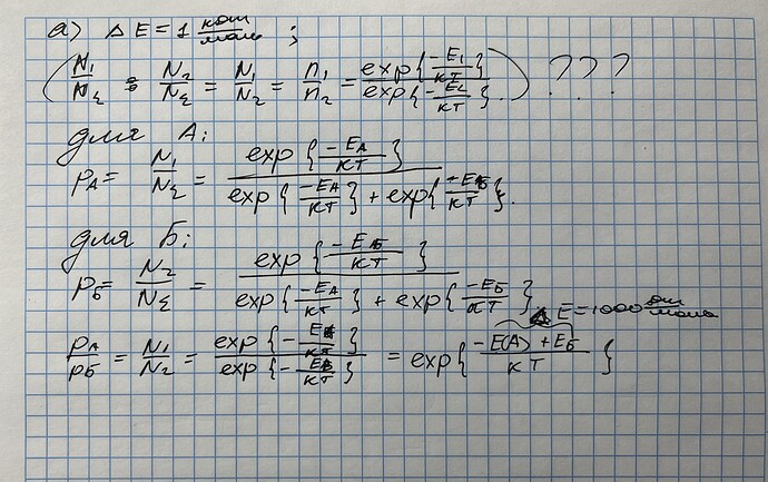
Теормат глава 3 параграф 6 задача 14

Равновесная смесь содержит два изомера при 25 ◦C. Во сколько раз одного изомера больше, чем другого, если разница в энергии между ними составляет:
а) 1 кДж/моль; б) 5 кДж/моль; в) 10 кДж/моль? Ответы. а) n1 =1,5; б) n1 =7,5; в) n1 =57.

не получается решить
вот попытка


ответ выходит на много порядков другой, в чем ошибка?

если что, то ответ на пункт а) 1,5=n1/n2

АААА…Но зачем? :grinning: :grinning:

В последней строчке в экспоненте есть разница энергий, просто подставить надо.
Напоминание: у константы больцмана размерность Дж/К, т.е. её используют, если энергия дана на одну частицу. Если же на один моль частиц, то следует взять k_Б \cdot N_A, т.е. газовую постоянную R.

3 лайка

из формулы распределения больцмана

1 лайк

может через энергию гиббса попробовать решить

все, дошло, спасибо
в одной из предыдущих задач такую же ошибку допустил

2 лайка