Задача на полураспады, а также как решать системы уравнения где х стоит в степени


Для этой задачи, просто посмотрев и немножко посчитав можно легко догадаться, что ответ 120, но когда я ставил под формулу A_t=A_0\cdot 0.5^{t//T_{1/2}} и решил сделать уравнение понял, что не смог решить. Уравнение выглядит следующим образом (возьмем исходное кол-во первого изотопа как 1): 1 \cdot 0.5^{t//10}=0.5 \cdot 0.5^{t//12} и тут я пришел в тупик, не понял как решать подобного вида уравнения. Можете показать более легкий путь решения и способ/способы решения таких уравнений.

Мне, помог друг и у него выходит 60.


Можете сказать где у него ошибка ?

1 лайк

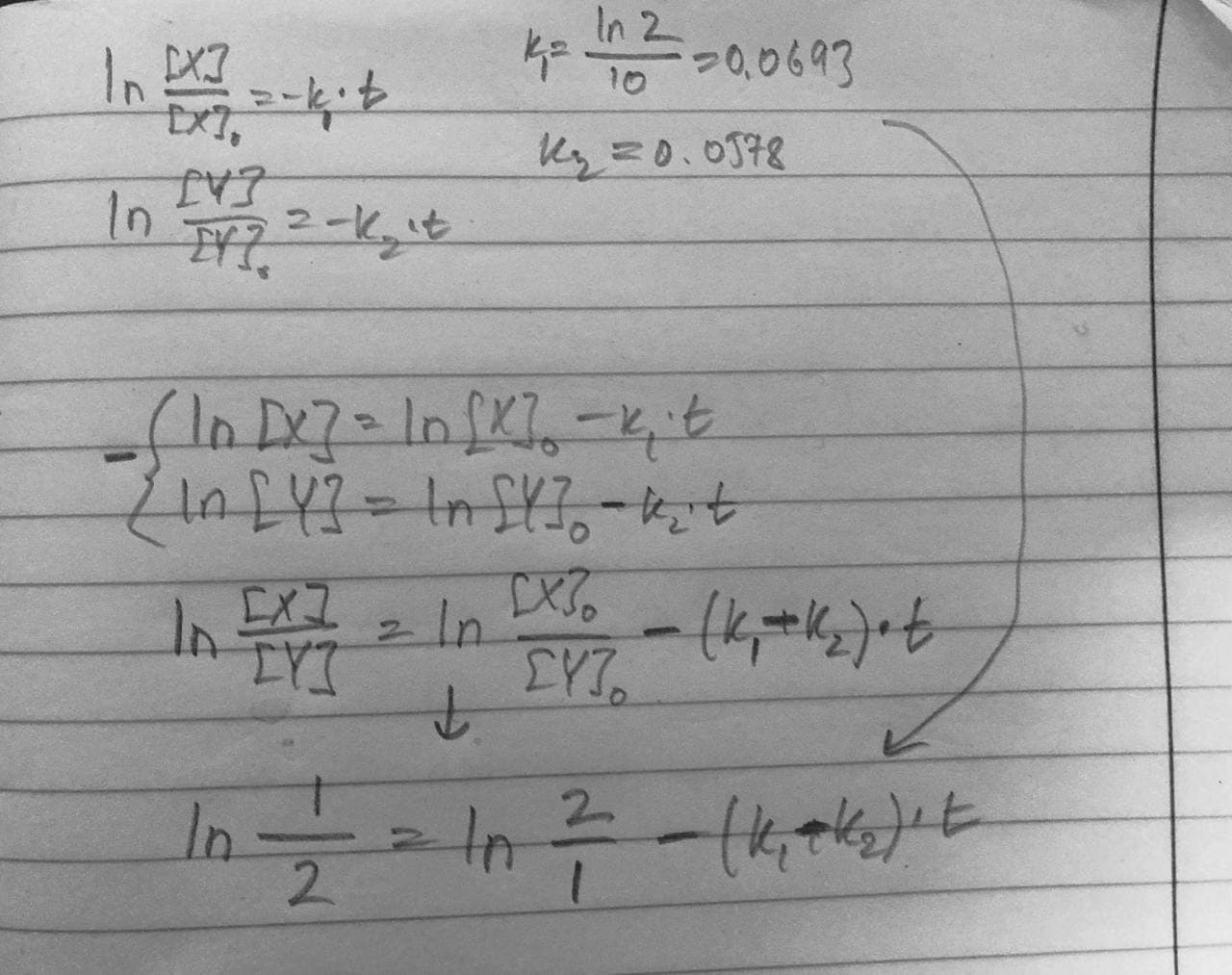
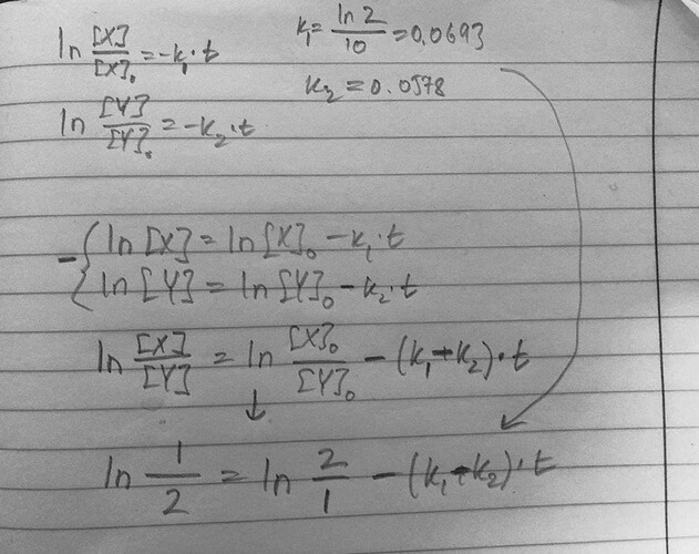
тут решали такую задачку)

и если подставить цифры вместо k1 и k2, можно получить значение t=120 ч

4 лайка