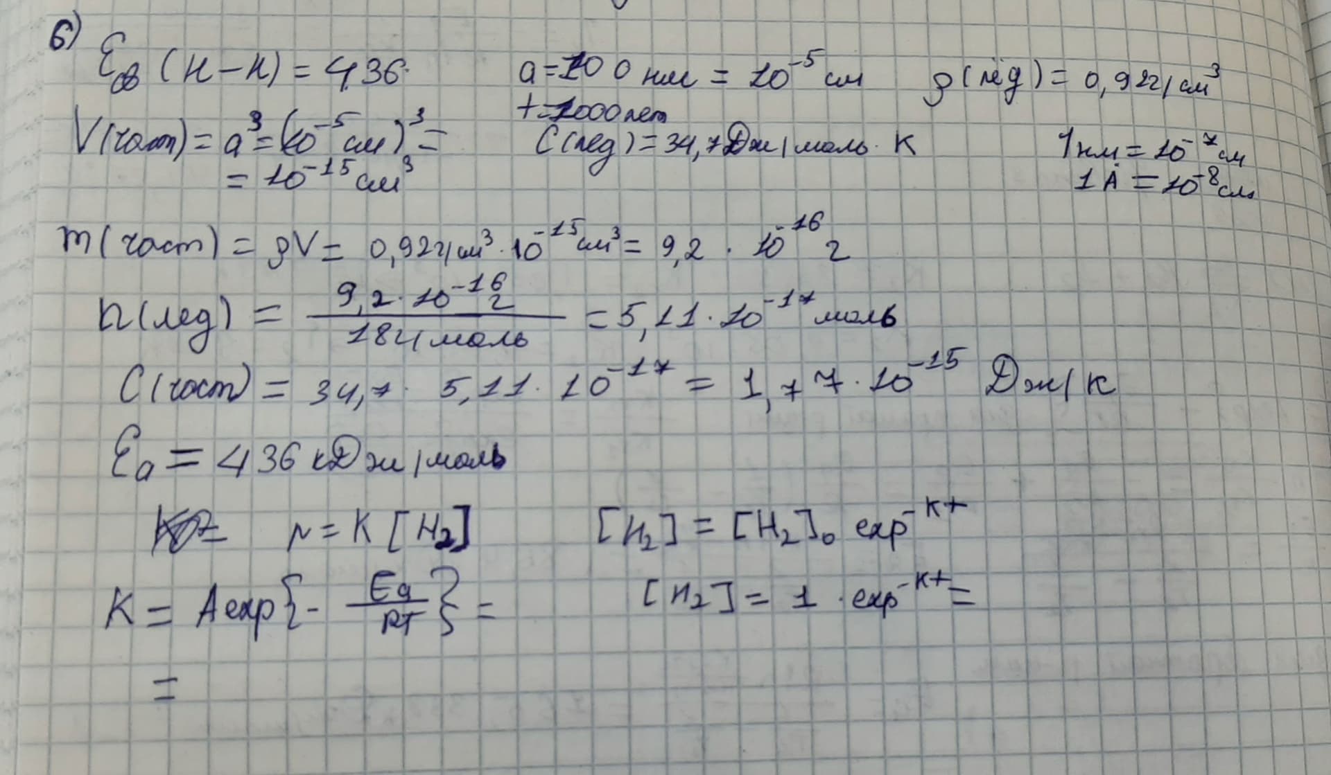
6. При столкновении атомов водорода на поверхности ча стицы льда образуется молекула H2, а выделяющаяся энергия поглощается частицей. Столкновения происходят в среднем один раз в две недели, частица имеет кубическую форму с реб ром 100 нм. На сколько градусов нагреется частица льда за 1000 лет? Другими процессами, кроме реакции и нагревания, можно пренебречь. Справочные данные. Энергия связи в молекуле H2: 436 кДж/моль; теплоёмкость льда: 34,7 Дж/(мольК); плотность льда: 0,92 г/см3.
Решил только до этого этапа, дальше вообще нет идей
Найди сколько энергии выделится за 1000 лет. Потом с помощью теплоемкости найди температуру.
При образовани одной молекулы водорода выделяется \frac{436}{N_A} kJ энергии. За месяц примерно 2 \cdot \frac{436}{N_A} kJ. А за 1000 лет сколько?
Потом можешь использовать формулу C_p = \frac{\Delta H}{T}.
Каким образом, у нас нет формулы зависимости тепла от времени
Вообще, в таких задачах (да и в принципе везде) всегда рекомендуется словесно расписывать и объяснить свои действия, в целях более осознанного подхода к решению, чтобы потом не допускать ошибки.
Каждое столкновение атомов водорода подразумевает образование одной молекулы водорода. В условии говорится, что такие столкновения происходят в среднем один раз в две недели. Другими словами, 1 молекула водорода образуется раз в две недели (в среднем). 1000 лет состоят из 52 000 недель, а значит, за это время произойдет 26 000 столкновений, а следовательно, образуются 26 000 молекул водорода.
Значит при образовании 4.32 \cdot 10^{-20} моль водорода, выделяется 436 \cdot 4.32 \cdot 10^{-20} \cdot 1000 = 1.88 \cdot 10^{-14} Дж теплоты. Теперь то и можно найти увеличение температуры.
А так, в принципе, до написания v = k[\ce{H2}] ты сделал все правильно.
А точно, вообще упустил эту информацию о столкновениях раз в 2 недели
Спасибо

