Дана окружность радиуса R, которая закреплена к плоскости. В самой нижней точке этой окружрости находится маленькое тело. Какую минимальную, начальную скорость нужно приложить этому телу, чтобы оно ровно в самом верху оторвалось от окружности? Коэффициент трения тела об окружность равен μ. Силовая характеристика гравитационного поля g.
Пока не знаю как получить ответ, но вот немного продвижения из уравнений динамики (угол \theta отсчитываю от нижней точки)
решение
вроде подходит под это уравнение, но я не задавал начальные условия
P.S. я угадал решение вида \dot\theta^2=A\cos\theta+B\sin\theta, подставил и решил систему уравнений относительно этих коэффициентов
upd. надо подобрать другое решение, полученное выше немного похоже на правду, но это не то
итак, вот моё окончательное решение.
Это всё я по идее могу записать как
где y≡\dot\theta^2, \dot y ≡\text{d}y/\text{d}\theta,
и это очень похоже на диффуру для заряда конденсатора в цепи с источником синусоидального напряжения, резистора и конденсатора, т.е. общее решение этой штуки будет суммой частного решения (когда y меняется синусоидально) и решения однородного уравнения (правая часть равна нулю). Тут, конечно, колебаний и не будет)) но во всяком случае это просто соответствует приравниванию коэффициента при \ddot y нулю.
Итак, решаем однородное уравнение:
где C определяется заданием начальных условий
Значит, если для уравнения
подобрать решение вида
то, во-первых, первые два слагаемых соответствуют моему выводу выше, а третье слагаемое зависит от того, какие величины мы будем подставлять. То есть для уравнения
если подставить \dot\theta^2 = g/R для \theta=\pi, то получаем
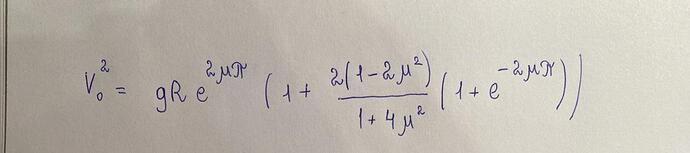
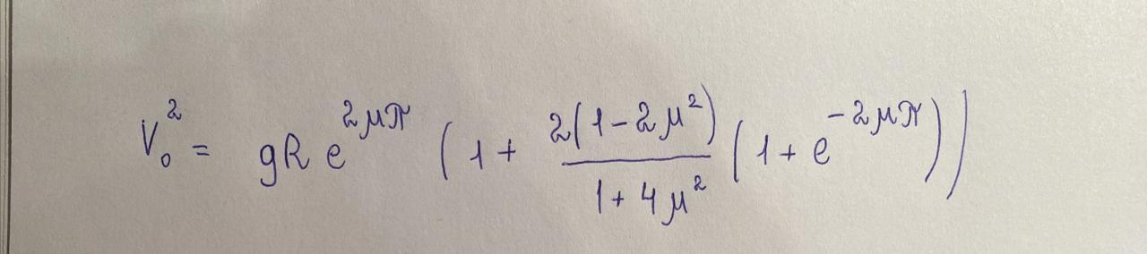
Следовательно, финальным ответом является
Алиш привет, у тебя очень крутое решение) Если хочешь узнать ответ и решение, то спроси у Шатохи (Шатохин Даниил). Это он мне дал эту. Это очень круто, что ты решил её, некоторые её называют 9 кругов интегрального ада. Спасибо за решение))))!!!
К сожалению, решение приведённое Алишером содержит ошибку. Это можно понять по тому, что при подстановке достаточно большого коэффициента трения в конечное выражение для ответа получается отрицательный квадрат скорости. Данную задачу можно решить другим методом, используя Метод Лагранжа при решении линейного дифференциального уравнения первого порядка полученного Алишером. Таким образом, получается ответ:
я попробовал зависимость вывести этим методом и получилось точно так же. Просто в решении выше надо исправить
![]()
да это же просто эллиптический интеграл, ты этот ответ в таком интегральном виде оставляешь и норм
Какой-то узкоспециализированный физический юмор
Ну вот в химии вы же всегда по действиям находите значения, а далее используете округленные значение (по крайней мере нас так в школе учили). А вот представьте, если вывести одну конечную формулу, как в физике и получить более точное значение. Тут происходит примерно то же самое, только вместо химии — физика, вместо физики — математика
это не настоящие химики, это дип фейки

