Равномерное прямолинейное движение

Тело движется вдоль оси 0х. На рисунке
3 изображен график зависимости проекции ускорения тела ax от времени.
В начальный момент времени t = 0
проекция скорости тела была равной
υx = 3 м/с. Определите проекцию скорости υх тела в моменты времени t = 1с и t = 2с. Постройте график зависимости скорости от времени,определите
пройденный телом путь.


Чему равен весь путь?Нашел ,что υx(2)=2м/с.Значит путь S=υx(1)*t1+υx(2)*t2=6м,но в ответе написано 7.5м

2 лайка

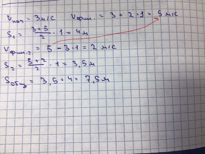
Вот мой вариант:

5 лайков

Значит уравнение скорости v(t)=2t+3

Проинтегрировав, можем получить уравнение пути:

s(t) = \int (2t+3)dt = t^2 + 3t + C

Учитывая, что путь в начальный момент s(t=0)=0, C=0. Тогда

s(t=1) = 1 + 3 = 4

Конечная скорость: v(t=1)=5

Рассмотрим следующий промежуток отдельно.

v(t)=5-3t
s = \int (5-3t)dt = 5t-\frac{3}{2}t^2 + С

Можем посчитать второй участок пути как независимый от первого и взять C=0 (это не критично). Тогда s(t=1)=5-\frac{3}{2} = 3.5

Получается, что пройденный путь на первом участке 4 метра, а на втором 3.5 метра.

Твоя ошибка в том, что ты берешь конечные значения скорости и предполагаешь, что на всем пути движения они были одинаковы. Но скорость что на первом участке, что на втором, в любой момент времени t отличается от скорости в момент t \pm dt

4 лайка

зачем интегралы для школьной физики))

2 лайка

а как иначе?)))

ой, даже не заметил

Используешь интегралы для школьный физики? Ты может быть и химик, но звучишь как чистокровный физик