Не работает перенос уравнения в Latex

Ввожу такой вот код

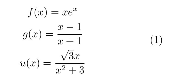
    f(-x) = \frac{-x^3}{2(-x +1)^2} \\
    \left[
    \begin{gathered}
        f(x) \neq f(-x)\\
        f(x) \neq -f(-x)
    \end{gathered}
    \right.

overleaf.com выводит такую вот штуку
image

Почему двойной слэш \ \ не переносит совокупность уравнений на следующую строчку?

P.S. Почему-то не работает именно в случае, когда уравнение стоит отдельным блоком. В случае с inline equation всё нормально

1 лайк

Ты уверен, что правильно вошел в режим \LaTeX? Может ты знаки доллара поставил на одной строке с уравнением?

У меня все работает, просто вставил твой код вот так:

$$
f(-x) = \frac{-x^3}{2(-x +1)^2} \\
    \left[
    \begin{gathered}
        f(x) \neq f(-x)\\
        f(x) \neq -f(-x)
    \end{gathered}
    \right.
$$
f(-x) = \frac{-x^3}{2(-x +1)^2} \\ \left[ \begin{gathered} f(x) \neq f(-x)\\ f(x) \neq -f(-x) \end{gathered} \right.
2 лайка

Знаки доллара стоят на отдельных строчках, создал новый файл, там тоже такая проблема

Вроде всё ок. (Проверил на overleaf)

image

1 лайк

А, так у тебя в Overleaf не работает? Надо просто поставить внешний gather:

\begin{gather}
f(-x) = \frac{-x^3}{2(-x +1)^2} \\
\left[
\begin{gathered}
    f(x) \neq f(-x)\\
    f(x) \neq -f(-x)
\end{gathered}
\right.
\end{gather}

Результат:

Если не хочешь нумерацию, можешь поставить просто \begin{gather*} вместо \begin{gather}. А так, да, двойной backslash не работает в обычном режиме для формул.

2 лайка

Он писал, что у него проблемы с block equation.

а, всё понял.

А кто такой gather? В чем отличие от equation?

И чем он отличается от gathered?

Среда, которая заменяет equation. Отличие в том, что можно вместить несколько уравнений, не создавая блоки equation для каждого отдельного уравнения. Используют когда не нужно какое-то особенное выравнивание уравнений (если нужно, используют align и другие).

gathered, как и aligned или split, не заменяет полностью среду equation — они могут быть только внутри него, то есть для него нужен внешний equation. А gather, как и align или multline, заменяет полностью среду equation, то есть их можно использовать вместо него (и, как мы поняли, внутри них можно использовать всякие gathered).

Этот код выводит две формулы, нумеруя каждую из них.

\begin{gather}
f(x) = x e^x \\
g(x) = \frac{x-1}{x+1}
\end{gather}

Если для какой-то из формул нумерование не нужно, можно использовать \notag.

\begin{gather}
\notag f(x) = x e^x \\
g(x) = \frac{x-1}{x+1}
\end{gather}

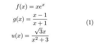
Если нужен один общий номер для нескольких формул, можно использовать gathered внутри equation.

\begin{equation}
\begin{gathered}
f(x) = x e^x \\
g(x) = \frac{x-1}{x+1} \\
u(x) = \frac{\sqrt{3}x}{x^2+3}
\end{gathered}
\end{equation}

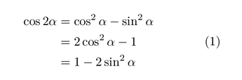
А вот, что может split:

\begin{equation}
\begin{split}
\cos 2 \alpha &= \cos^2 \alpha - \sin^2 \alpha \\
 &= 2 \cos^2 \alpha - 1 \\
 &= 1 - 2 \sin^2 \alpha
\end{split}
\end{equation}

Для дальнейшего чтения есть такая бумажка (а в ней ссылка на книгу):

8 лайков