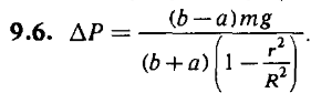
9.6. Диск Максвелла подвешен к чашкам весов (рис. расстояния от диска до нитей равны а и b. Система уравновешена неподвижном диске. Определить, какой перегрузок нужно дополнительно положить на весы, чтобы система оказалась уравновешенной при движении диска. Масса диска равна т, радиус инерции диска - R, радиус валика - r. Массой валика пренебречь.
Мое решение:
А ответ:

Где я ошибся? В чем я не прав?



