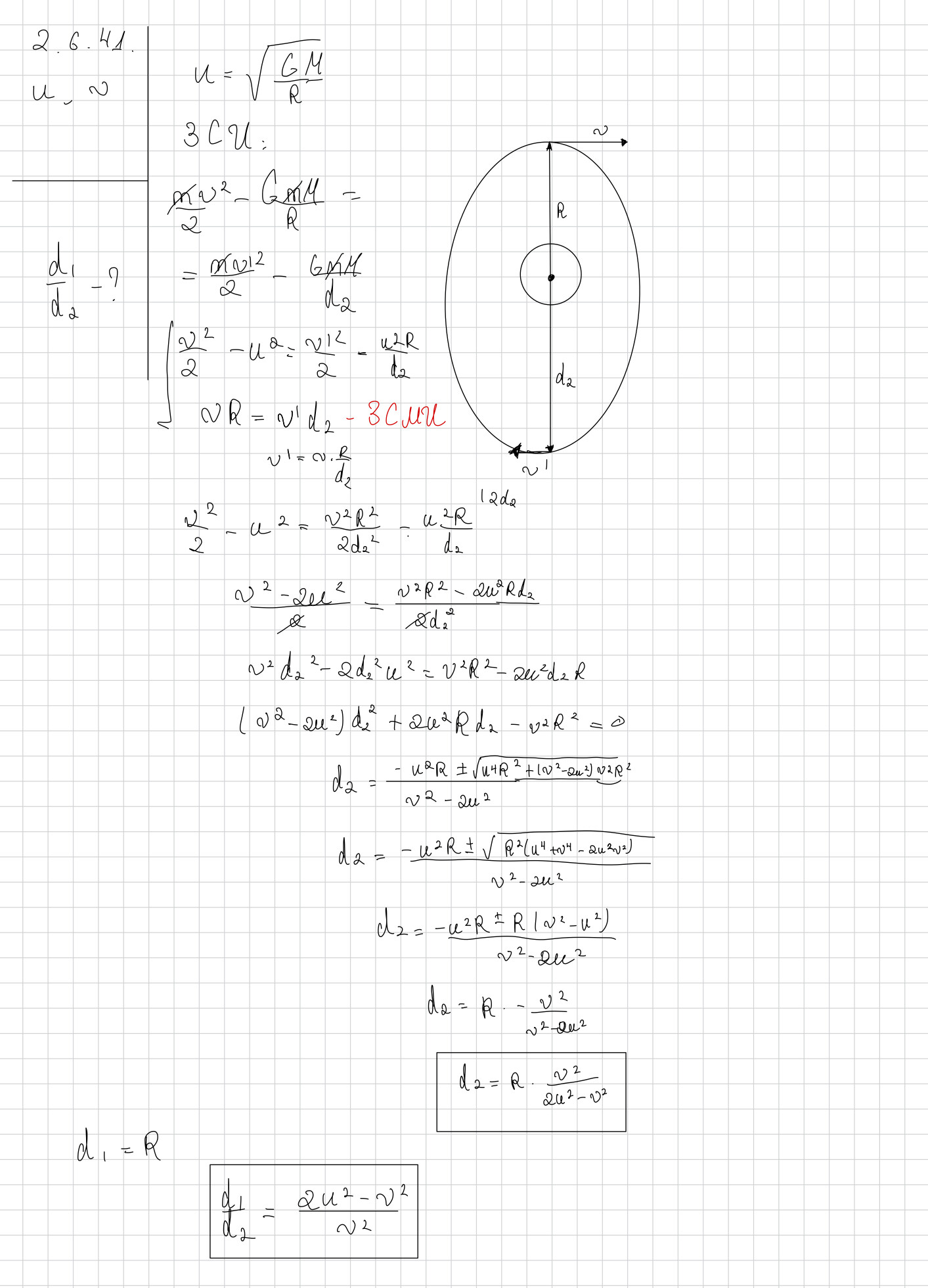
2.6.41*. С орбитальной станции, движущейся со скоростью u по круговой орбите вокруг планеты, запускают два зонда. Начальная скорость зондов относительно планеты равна v (\sqrt 2 u > v > u). Один зонд движется по направлению радиуса планеты; начальная скорость другого зонда перпендикулярна ее радиусу. Найдите отношение максимально возможных расстояний от зондов до центра планеты.
Вот мои попытки решения
Могли бы помочь в решении задачи.Где моя ошибка?
