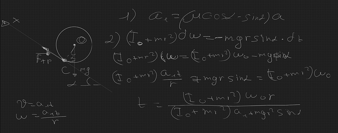
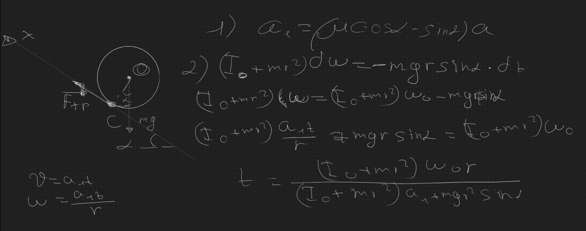
22. Считая в предыдущей задаче коэффициент трения скольжения k цилиндра о наклонную плоскость заданным и постоянным, определить: 1) ускорение цилиндра а1, когда качение происходит со скольжением; 2) время t1, по истечении которого наступает чистое качение; 3) высоту H1, которой достигает цилиндр, прежде чем начинается чистое качение; 4) ускорение а2 при чистом качении; 5) дополнительную высоту H3, на которую поднимется цилиндр при чистом качении; 6) полную высоту поднятия Н; 7) время обратного скатывания цилиндра т.
Ответ во втором пункте
А у меня вышло что
Это в ответе опечатка или у меня ошибка?


