Соскальзывание шара

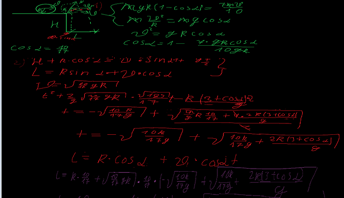
Шар радиуса R катится по горизонтальному столу высоты со скоростью v (смотрите рисунок). Определите, на каком расстоянии L от стола шар упадет на пол. Считайте, что за все время движения по столу шар не проскальзывает, а его кинетическая энергия при этом равна Eк=7mv^/10. Проведите численные расчеты для H=3R при и начальной скорости , стремящейся к нулю. Трением качения пренебречь.
image

У меня ответ вышел но не уверен в ответе и теперь хочу проверить. У меня ответ вышел L=R√5/2(√5+√(1232/)9 - √(80)/3)

1 лайк

можешь объяснить последовательность решения и какие формулы ты применял? корни какие-то страшные у тебя вышли

1 лайк

как то так у меня вышло. У меня вышел ответ чуть, из за того что перепутал цифры. Дальше не стал решать, потому что дальше обычная математика

ты сохранение энергии записал таким образом, будто шар покоился на краю стола, его чуть подтолкнули и он приобрёл энергию \displaystyle \frac{7}{10}mv^2. правильнее писать

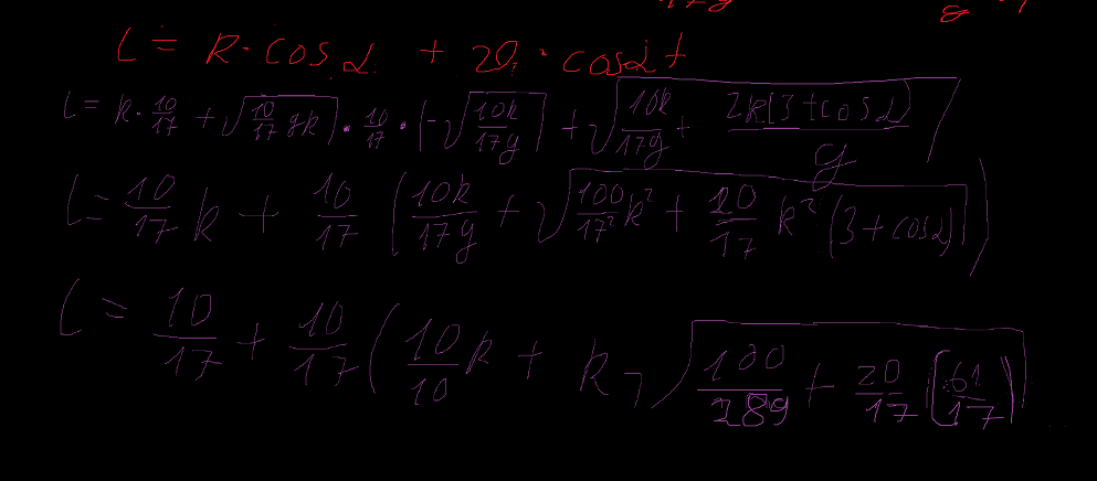
\frac{7}{10}mv^2 = \frac{mu^2}{2} + mgR(1-\cos\alpha), \\ m\frac{u^2}{R}=mg\cos\alpha.

а дальше простая баллистика, но тоже нужно учитывать наклон начальной скорости, изменённую высоту и т.д.

5 лайков


Тут разве не \frac{7mu^2}{10}?

2 лайка

почему

Не учитываем ли мы энергию уходящую на вращение шара?

1 лайк

а) забыл) да, правильно

2 лайка