Титрование Zn используя EDTA. Quantitative Chemical Analysis Harris

Читая главу про EDTA titration я наткнулся на пример с титрованием цинка используя ЭДТА в присутствии NH3, который предотвращает гидролиз цинка и выпадение осадков гидроксидов цинка но позволяет титрование цинка используя ЭДТА



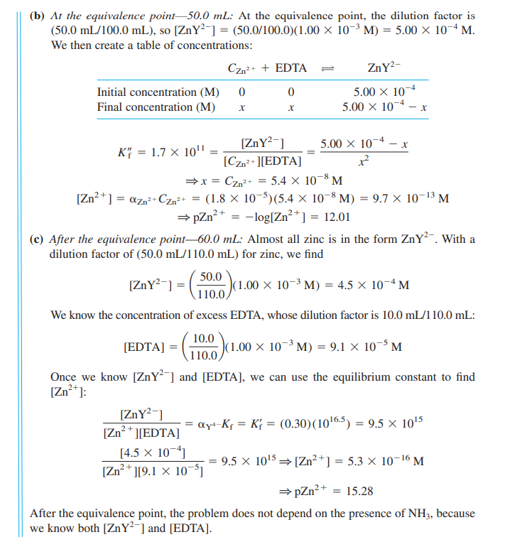
я не особо понял почему в (b) автор использует константу в которую уже включена доля цинка, а так же потом домножает полученную концентрацию на долю цинка в растворе опять. Но в пункте (c) этого вообще не делается, даже когда находят концентрацию цинка в растворе, ее не умножают на долю цинка что бы узнать концентрацию цинка не в комплексе

3 лайка

Almost all zinc is in the form ZnY^{2-}. Когда мы добавили избыток ЭДТА, у нас уже нет значимой концентрации свободного от ЭДТА цинка, он весь связан с ЭДТА. В (b) хотя бы x\ М цинка не связанного с ЭДТА. Попробуй посчитать реальные концентрации форм цинка в (b) и (c), и понять, стоят ли того такие допущения

1 лайк

Просто мольная доля цинка ведь не зависит от его концентрации в присутствии NH3. Она зависит только от констант устойчивости и концентрации лигандов. Так если мольная доля одна и та же в случаях (b) и (c), то разве не будет такого что в обоих случаях надо ее учитывать, ведь какой то процент цинка связан, но этот процент остается неизменным при реакции с эдта? Я попытаюсь завтра посчитать реальные концентрации цинка в (b) и (c), но все равно в голове еще не все сложилось

Ты же не забываешь, что у тебя цинк комплекс с аммиаком делает?

Присмотрись, там есть просто K, есть K'_{eff} и есть K''_{eff}, первая обычная, вторая учитывает только кислотно-основное равновесие ЭДТА, третья учитывает и ЭДТА и связывание цинка в комплекс с аммиаком. В пункте (b) и в пункте (c) используют разные константы.

Не знаю насколько это правда. Сама идея в (b) брать что весь цинк сначала пойдет в эдта комплекс, а затем из него образуется x\ М=C_{\ce{Zn^{2+}}} стремно выглядит. Если ты напишешь реально правильное общее выражение для мольной доли \ce{ZnY^{2-}}, то увидешь, что оно растет с увеличением \ce{[Y^{4-}]}. Если книга говорит что в (b) концентрация несвязанного с ЭДТА цинка равна 5.4\cdot10^{-8}\ М, то при избытке ЭДТА это значение будет еще меньше, так как повысилась мольная доля \ce{[ZnY^{2-}]}. И можно будет прикинуть что C^0(\ce{Zn}) =C_{\ce{Zn^{2+}}}+\ce{[ZnY^{2-}]}≈\ce{[ZnY^{2-}]}

C_{\ce{Zn^2+}} — общая концентрация несвязанного с эдта цинка

1 лайк

Да, я это вижу. Я просто не понимаю почему раз мы уже учили что у нас Kf’’ в пункте (b) мы еще раз домножаем на долю цинка, а в (c) мы учитываем только Kf’ и не домножаем на долю цинка, хотя аммиак еще в растворе и он связывает часть цинка который не в комплексе с ЭДТА

Какая то часть несвязанного цинка разве не будет сразу соединятся с аммиаком и тратится на образование его комплекса, ведь в пункте (b) концентрация комплекса тоже значительно больше концентрации свободного цинка, но мы домножаем на мольную долю несвязанного цинка все равно

Это кжс изза того что у металлов с ЭДТА константа комплексообразования просто огромна ну и типо весь ЭДТА реагирует а оставшаяся часть уже может вступить в комплекс с NH3 или просто остаться в растворе

Потому что из-за нашего учета для K’’ в ответе получаем дурацкую ненужную C_{\ce{Zn^2+}}, которую приходится переводить обратно. И мы не умножали, а делили, так что всё логично.
А вот для последнего пункта, использовали полуэффективную какую-то константу, чтобы сразу получить ответ, и не тратить время на пересчет.

1 лайк

Ааа я пон теперь. Капец это одновременно удобно и запутывает, спасибо! Это как когда мы используем Kf’, то в уравнение вставляем [EDTA], а не [Y(4-)], верно?

Всё так

1 лайк