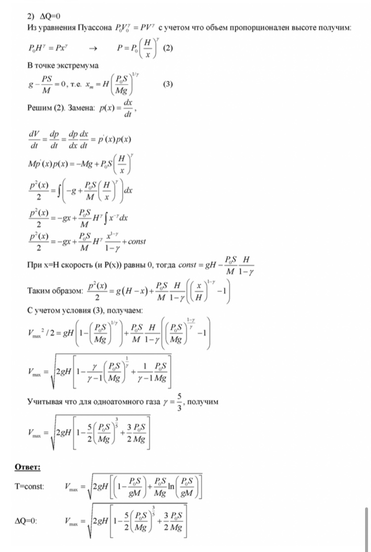
В откачанном пространстве вертикально стоит цилиндрический со- суд, перекрытый сверху подвижным поршнем массы M. Под поршнем находится одноатомный газ при температуре T и давлении P. Внутреннее сечение цилин- дра S, высота той части сосуда, внутри которой находится газ, H. Поршень от- пустили. Он начал двигаться. Чему равна максимальная скорость, развиваемая поршнем, если газ сжимается изотермически? адиабатически?

a) Из закона сохранения энергии или теоремы о кинетической энергии и работе
где A - работа, совершенная над поршнем, равная работе, совершенной газом, которая в данном случае (изотермический процесс) определяется как
Подставляя (2) в (1)
Из закона Бойля-Мариотта
Применение уравнения состояния к начальному состоянию,
Применение второго закона Ньютона
В момент максимальной скорости dv/dt = 0 и P(t) = P', следовательно
Подставляя (6) в (4) и выражая y
Подставляя (5) и (7) в (3) и выделяя v
b) Из закона Пуассона
Работа, совершаемая газом при адиабатическом процессе, равна
Согласно (6), мы можем модифицировать (8) и выразить y, получив
Подставляем (9) в (1) и учитываем (6),
Подставляя (10) в (11), поскольку газ одноатомный (i = 3 и \gamma = 5/3), и отделяя v
Источник: savchenko-physics.github.io

