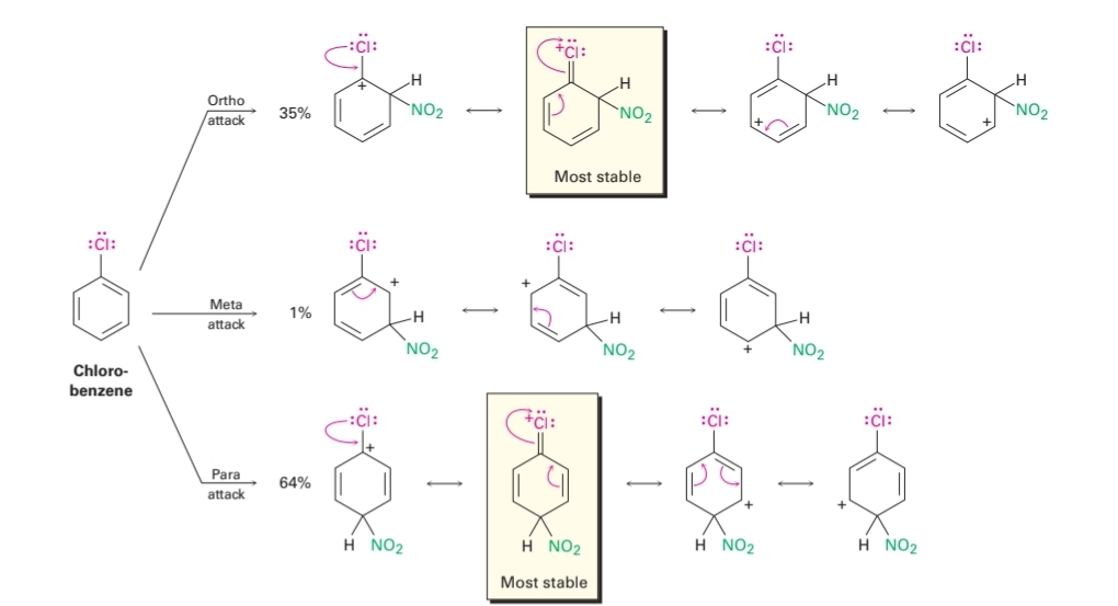
индуктивный эффект уменьшает реактивность в орто и чутка в мета. резонансный повышает в орто и пара. сказано, что индуктивный доминирует над резонансным. тогда по логике ряд должен быть пара>мета>орто, ну или хотя бы не так мало у мета-продукта, разве нет?
Аргумент можно получить задним числом (по стабильности интермедиатов)
(А как не смотрев на продукты обосновать, я не знаю)
ну первая структура в орта и пара тоже не будет отличаться особой стабильностью, если с атома углерода уже хлор стягивает плотность, и туда еще положительный заряд ставить
а резонансная делокализация пары хлора будет ослаблена тем, что его 3р орбиталь плохо перекрывается с 2р углерода(это как раз аргумент из клейдена почему индуктивный доминирует над резонансным )
Когда говорят “индуктивный сильнее мезомерного”, это надо смотреть не на соотношения продуктов, а на вот это
При этом надо понимать, что разница в скоростях не может быть получена сложением эффектов (почему?), а вот если мы возьмем логарифмы скоростей, то для них, возможно, уже можно будет попробовать разложить индуктивный и мезомерный эффект как сумму (почему?). Если вас интересуют ответы на эти вопросы, то изучайте постулат Хэммонда, [уравнение Гаммета] (Hammett equation - Wikipedia) и уравнение Гаммета-Тафта. Особо смелые могут попробовать обосновать, как так вообще вышло, что эти вещи даже более-менее сносно работают, но для этого надо уметь в строймол и уметь пояснять за математику.



