Математическое преобразование

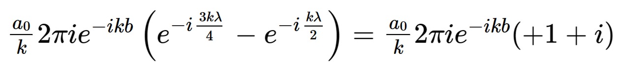
Всем привет. Столкнулся с таким видом преобразования:


К сожалению, не знаком с данным видом тёмной материи и прошу помочь мне великих волшебников с Хогвартса

Вот источник: Задача по физике - 8261 | Образовательный портал. Решение задач по физике, математике, химии. Справочник физико-химических величин. Онлайн-учебники.

4 лайка

Поначалу думал, что они использовали формулу Эйлера и применили сумму косинусов/синусов, но это видимо не так

1 лайк

Это преобразование можно получить просто через формулу Эйлера с использованием k\lambda=2\pi.

6 лайков

Ой точно! Спасибо, забыл

2 лайка