2 лайка
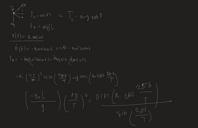
третья строка справедлива только для малых углов. в этой задаче получи диффуру и преобразуй к этому интегралу
pro tip:
\ddot x = \frac{\text{d}\dot x}{\text{d}t} = \frac{\text{d}\dot x}{\text{d}x} \frac{\text{d} x}{\text{d}t} = \dot x \frac{\text{d}\dot x}{\text{d}x}
3 лайка
К ответу Алишера у меня добавить пока что нечего. Если через пару дней не получится, тут есть решение, правда там ответ немного другой вышел, возможно придётся поприводить
P.S. У Ерса ник Ersultan
1 лайк
Ну начинаем с этого pro tip-a
а потом приводим \sin \theta к значению к производной какой-то функции, а дальше, довольно подробно объяснено в видео, которое я кидал
Спасибо, отличное видео!
2 лайка


