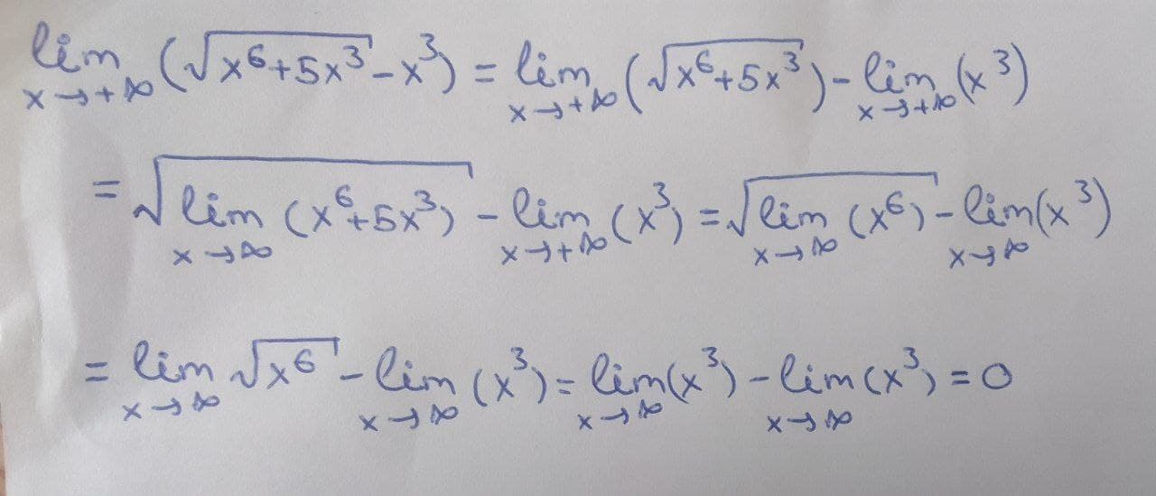
Не понимаю почему мое решение неправильное. Сначала подумал, что может некоторые правила лимитов мы не можем использовать так как там предполагалось, что лимит существует. Но в книге написано, что эти правила для бесконечностей тоже применимы. Где ошибка?
1 лайк
Когда ты разделил пределы в начале ты разбил их на пределы которые не определены, хотя в правиле предполагается что они существуют.
Вот тебе картинке на подумать :
4 лайка
на втором скрине же написано, что же “Theorem 1.2.2 carry over without change to limits at \pm \infty”. Или я неправильно понял предложение?
Не, здесь уже \infty \cdot 0. Это кажется уже другое
Там говорится о том что n стремится к \infty, а не сам предел \infty
3 лайка
ой ой ой





