Нужно найти корни уравнения

3x^2+6x+p=0 ;
the roots of the equation differ by 2. what is the value of p?

2 лайка

Для начала, попробуй выписать теорему Виета

1 лайк

ну я написал : х1+х2=-6/3=-2 ; и дальше х1*x2=р/3
что мне дальше делать?

вспомни что дано по условию x_1 - x_2 = 2 и поиграйся с этим + тем что выписал

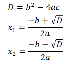
Найди x1 и x2 через дискриминант а затем вспомни условие differ by 2 и отнимай один от другого тогда там кое что сократится и выйдет красиво (подсказка: сокращаются шестерки )

а как мне там выписать дискриминант? перед р нет ведь коэф.

1 лайк

Смотри p это просто число то есть p=c ты помнишь ax2+bx+c=0 данное уравнение имеет эту форму
изображение
(подсказка :

Ответ: p=0

Можно открыть так
Тебе дано
х1-х2=2
Можно взять обе части уравнение в квадрат
(х1-х2)^2=2^2
х1^2-2х1х2+х2^2=4
после можно сделать так, чтобы в уранении был (х1+х2)^2
Для этого

Спойлер

х1^2+2х1х2+х2^2-4х1х2=4
(х1+х2)^2-4х1х2=4
Мы знаем, что х1+х2=-2
(-2)^2-4х1х2=4
-4х1х2=4/4=1
х1х2=-1/4=-0.25
А х1х2=р/а

р/3=-0.25
р=-0.25×3=-0.75

Ответ: -0.75

2 лайка

х1^2+2х1х2+х2^2-4х1х2=4
(х1+х2)^2-4х1х2=4

в начале когда ты в конце написала -4х1х2, не должны ли мы еще плюсануть это, чтобы уравнение работало?

В начале я написала это чтобы получить (х1+х2)^2
В начале когда уравнение было в виде
х1^2-2х1х2+х2^2=4
И я минусовала 4х1х2, чтобы то что у нас вышло было равно тому же уравнению в начале
То есть
2х1х2-4х1х2=-2х1х2, чтобы не потерять равенство
То есть
1 уравнение и 2 уравнение это одно и тоже уранение просто преобразованный

3 лайка