1 лайк
Никаких ошибок в твоем решении нет, просто необходимо дальше преобразовать. Для простоты я принял, что e^{-(a+b)kt} = e^{-k}
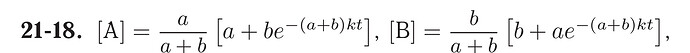
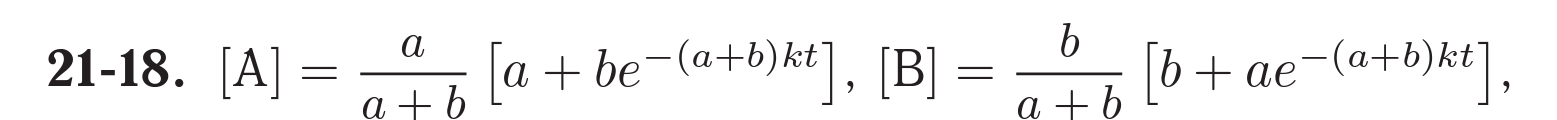
a-x =\frac{a^{2}+ab}{a+b} + \frac{abe^{-k}}{a+b} - \frac{ab}{a+b}
a-x = \frac{a^{2}}{a+b}+\frac{abe^{-k}}{a+b}
a-x =\frac{a}{a+b}(a+be^{-k})
Лично я посоветовал бы выражать все через [A] , вместо x, тогда объем решения значительно сократится.
P.S. Бывают случаи, когда нет никаких идеи насчет преобразования. В таких случаях можно просто подставить значения в выражение, которое находится в ответе, и в выражение, которое ты вывел. Если выйдут одинаковые значения, то скорее всего, твое выражение правильное, и дальше биться с преобразованием не имеет смысла
5 лайков



