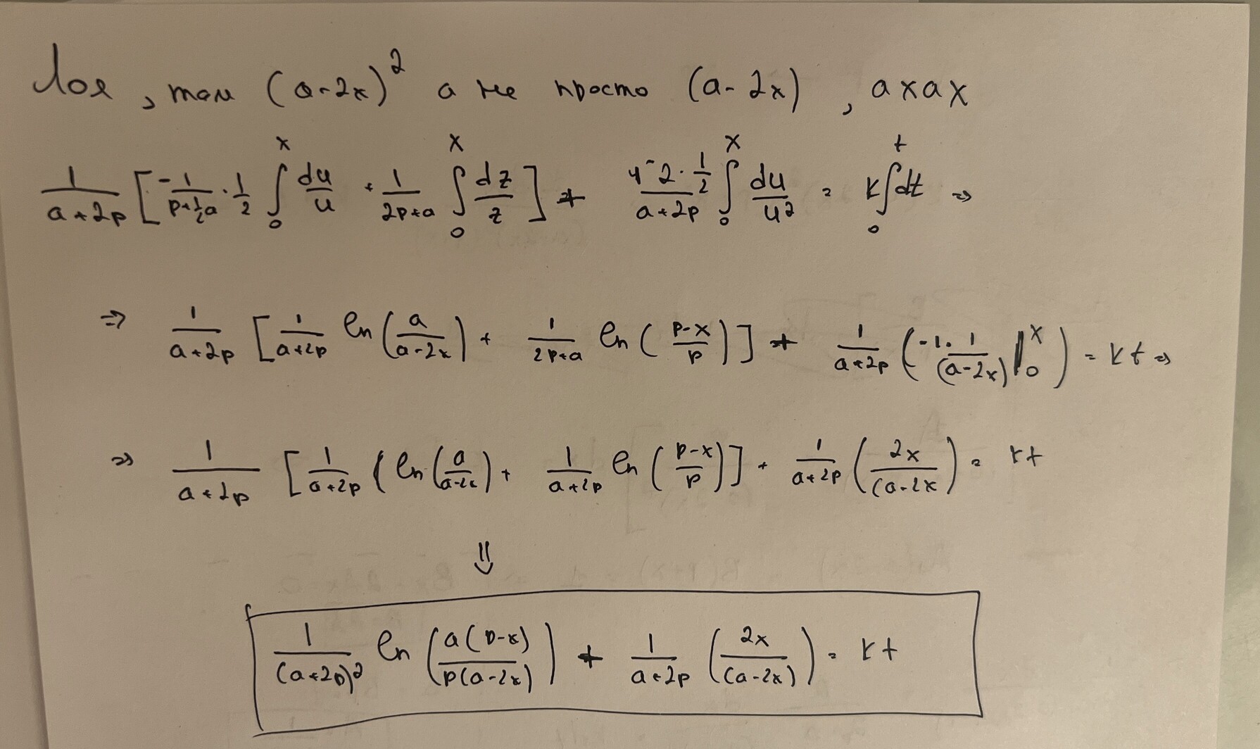
ОФХ 18-34 автокаталитическая реакция

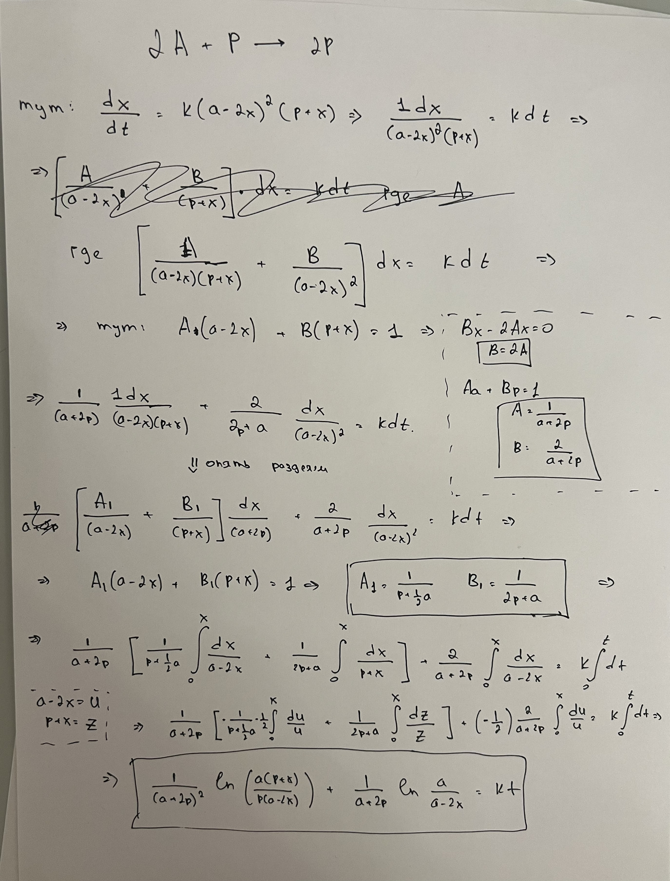
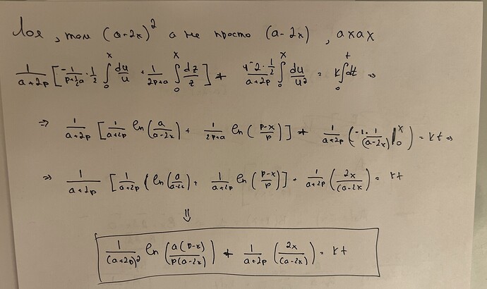
Автокаталитическая реакция 2A + P → 2P описывается кинетиче- ским уравнением d[P]/dt = k[A]2[P]. Решите это уравнение при начальных концентрациях [A]0 = a и [P]0 = p. Рассчитайте время, при котором скорость реакции достигнет максимума.


Мы долго с другом пытались это решить и я придумал вот это вот :


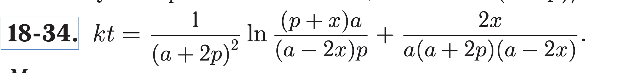
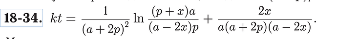
А ответ вот какой :

В чем я ошибся ?

1 лайк


Оказалось я просто поторопился и забыл там квадрат у второго (a-2x)…. Учитывая его, все вышло, тк теперь я взял правильный интеграл
А еще оказалось где я умножал A1 и B1, я там B1 умножил не на (а-2х) а на (p+x) но это ге повлияло не результат

1 лайк

Ты там p+x поменял на p-x

1 лайк

сорри, опять невнимательность, но метод правилен

1 лайк


Попробовал с неизвестной сделать. [В последней строке, то выражение равна kt]

1 лайк