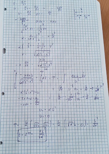
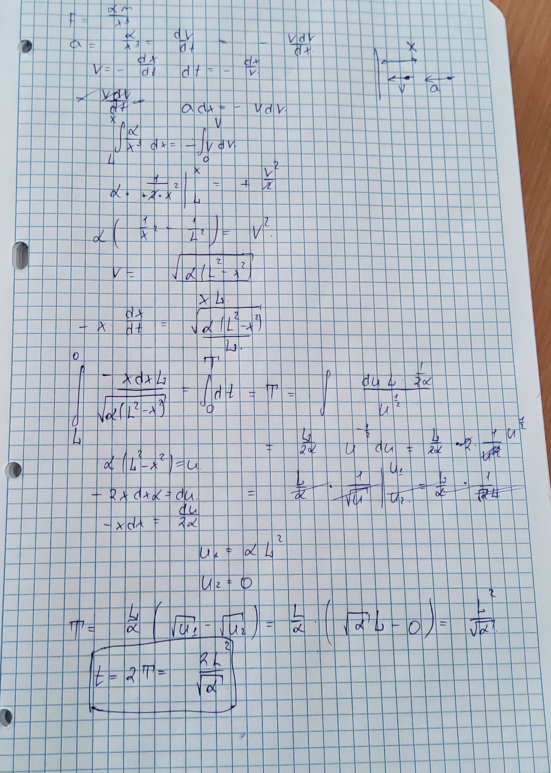
7.118. Летающая тарелка, дурача в очередной раз назойливых
уфологов, ускользает от них через отверстие в нашей метрике в 4-мер-
ное пространство. Однако в момент прохождения через отверстие от-
казывает двигатель тарелки, так что она смогла углубиться в него
лишь на расстояние L, много большее размеров тарелки. Через какое
время Т, влетев в это пространство (после исчезновения), тарелка
вновь вылетит в наше пространство? Считать, что в 4-мерном проcтранстве отверстие притягивает любое тело массы m с силой F=am/x3
Помогите с идеей пожалуйста,мои предположения
1)как мы знаем из более простых задач на гравитацию,мы можем принять прямую траекторию движения тела как движение по узкому эллипсу,но если я не ошибаюсь это только при том если рассотяние L было бы очень большое
2)так как задача на гравитацию я пытался приравнять am/x³=GM(x)m/x²,будто у нас меняется масса мнимого тела когда приближаемся.
Зачем приравнивать к mMG/x² если у тебя уже дана зависимость силы по условию
Была предыдущая задача где 4 материальные точки были выстроены в конфигурации квадрата и из за взаимного притяжения они они двигалась каждый по собственному эллипсу одним из фокусов которого являлся центр квадрата,но так как в центре ничего не было,нужно было создать мнимую материальную точку притяжение которой равнялось бы притяжению трех точек над одной,там в решении было взято что постоянная G изменилась и стала G1 при которой существовала мнимая точка.Тут я тоже хотел сделать мнимую точку,но к сожалению константа G или же M зависели бы от расстояния x(
Скипнул эту задачу и вот вернулся к ней,до этого интегралом решил что то поторопился видимо максимально дурацкую ошибку совершил теперь вот норм решил хотя бы,кому интересно как решается то вот,а то что посту пустовать)
А почему v=-\frac{dx}{dt}? А не плюс (Спасибо за решение)
Потому что я взял момент где он влетает обратно в портал

