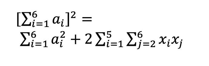
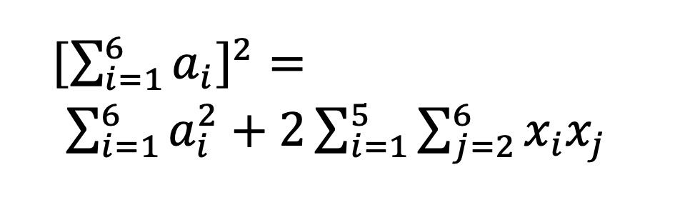
Здравствуйте! Можете пожалуйста помочь с решением вот этого примера?
Я пытался решить, но как то застрял(
1 лайк
в лоб две скобки перемножь
\sum a_i \cdot \sum a_i
1 лайк
В условии задачи ошибка. Второй член нижнего выражения неверный.
