Здравствуйте не могли бы вы помочь с задачей,а именно с решением через теорему штольца,я вроде как ее понял но чтото не сходиться
N54 (стоит ли переписать задачу если я не владею латексом?)
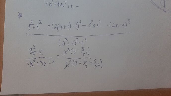
Ну мои продвижения,подгоном я понял что числитель надо умножить на n но не понял почему
1 лайк
Iliyas
(Илияс)
09.Январь.2024 14:21:17
2
Nz что такое теорема штольца но 1²+2²+3²+4²+…+(n-1)²=n(n+1)(2n+1)/6
Деля на n³ получишь 1/3
1 лайк
Ну там ответ 4/3 и просто формулой суммы квадратов не вышло
1 лайк
Zhabka
(Sakhmoldin Mukhammadarif)
09.Январь.2024 14:40:53
4
(2n + 1)^2 = 4n^2 + 4n + 1
(n + 1)^3 - n^3 = n^3 + 3n^2 + 3n + 1 - n^3 = 3n^ + 3n + 1
Ты чет неправильно посчитал, все нормально выходит же
Ну и отношение тех штук выше стремится к 4/3
1 лайк
Разве в числителе не (2n+1)^2+(2n-1)^2?
1 лайк
Zhabka
(Sakhmoldin Mukhammadarif)
09.Январь.2024 14:43:58
6
\sum\limits_{k = 1}^{n + 1}(2k - 1)^2 - \sum\limits_{k = 1}^{n}(2k - 1)^2 = (2n + 1)^2
2 лайка
Скажу честно ,я плохо панимаю записи с суммами
Но по смыслу разве 1^2+3^2…(2(n+1)-1)^2-1^2+3^2…+(2n-1)^2
1 лайк
Zhabka
(Sakhmoldin Mukhammadarif)
09.Январь.2024 14:48:57
8
Почему у тебя
-(1^2 + 3^2 + ...) = -1^2 + 3^2 + ...
2 лайка
Возможно что я сильно чтото упускаю но если правильно раскрыть(ивправду не заметил ошибку,извиняюсь)то тогда будет(2х+1)^2-(2х-1)^2
1 лайк
Zhabka
(Sakhmoldin Mukhammadarif)
09.Январь.2024 14:53:37
10
Ну вот ты сам написал:
1^2+3^2…+(2n - 1)^2 + (2(n+1)-1)^2
Ты из неё отнимаешь 1^2+3^2…+(2n - 1)^2
1^2+3^2…+(2n - 1)^2 + (2(n+1)-1)^2 - 1^2 - 3^2 - ... - (2n - 1)^2 = 1^2 - 1^2 +3^2 - 3^2 + …+(2n - 1)^2 - (2n-1)^2+ (2(n+1)-1)^2 = (2(n+1)-1)^2
3 лайка
Ааааа тоесть я к первой последовательности должен вмемте с (2n-1)^2 ещё и (2(n+1)-1)^2?
Вот этот момент я и не мог понять моэете ли вы обесьнить или дать материал где это написано сам както не видел такого я считал что я просто вместо n пишу n+1
1 лайк
Zhabka
(Sakhmoldin Mukhammadarif)
10.Январь.2024 02:15:28
12
Ты понимаешь что ты взял за a_n?
3 лайка
Ну похоже что не до конца ,но я вроде понял что если у меня последовотельность то я беру следуйщий n+1 член вместе со старыми и от него отнимаю все преведущие
1 лайк
Zhabka
(Sakhmoldin Mukhammadarif)
10.Январь.2024 03:02:31
14
a_n = 1^2 + 3^2 + ... + (2n - 1)^2
Это сумма первых n квадратов нечётных чисел.
a_{n + 1} = 1^2 + 3^2 + ... + (2n + 1)^2 = a_n + (2n + 1)^2
a_{n + 1} - a_n = (2n + 1)^2
3 лайка