Бусинка массы m скользит по вертикально расположенному волно-
образному участку гладкой проволоки. Длина волны много меньше длины участ-
ка и много больше размеров бусинки, а длина проволоки на участке в k раз боль-
ше его протяженности. С какой средней силой действует бусинка на этот участок
проволоки?
Вот моё решение.
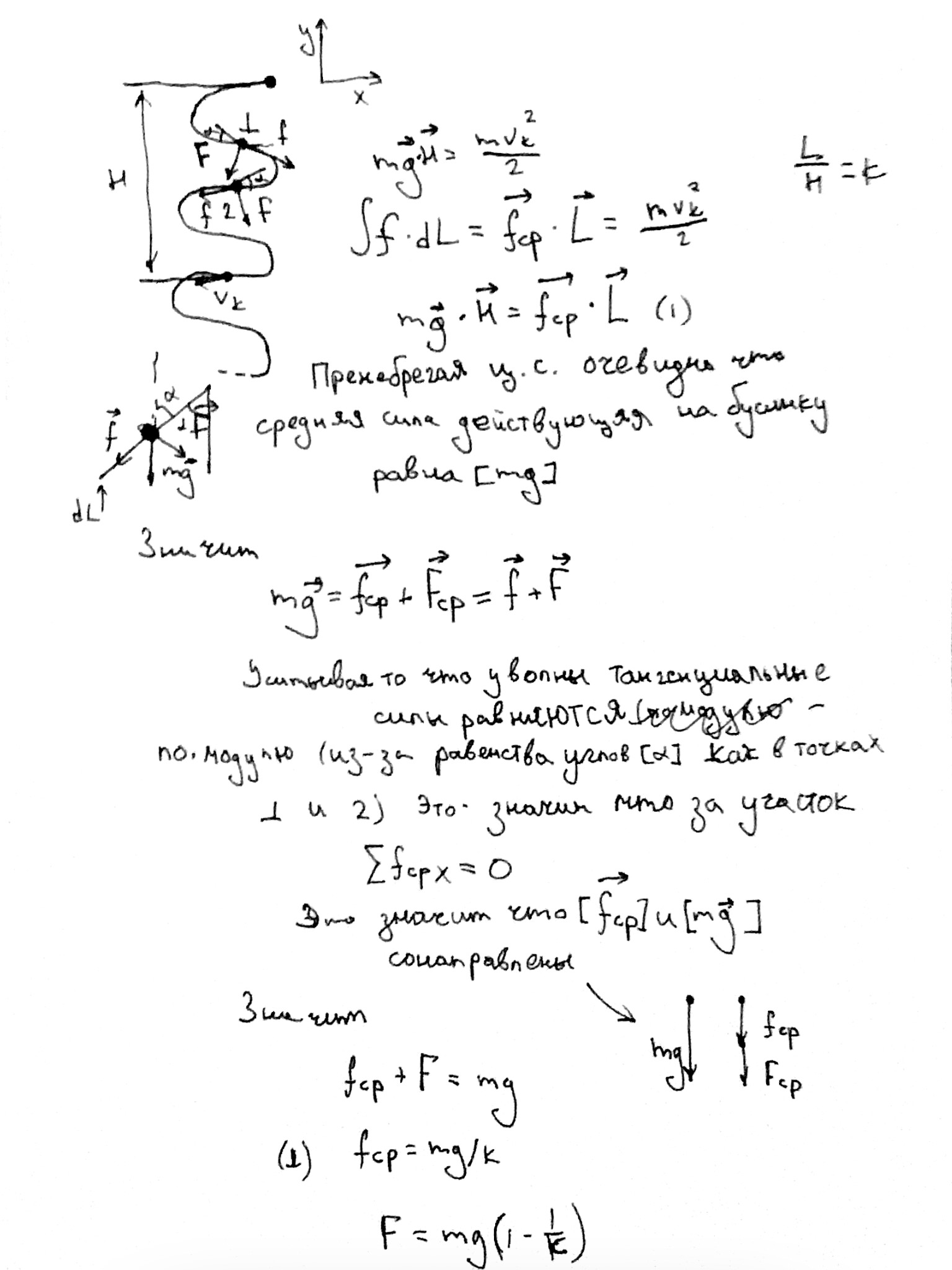
В этой задаче важно понять что на участке проекция средней тангенциальной силы по оси х равна нулю из за свойств волны.
P.S. Я до конца не уверен в правильности моего решения потому что вектор H делённое на вектор L я взял как k
Upd. И в правду ошибка. Можно было умножить две части на L и по скалярному произведению найти то что:
вектор H делённое на вектор L
Равна k во второй степени
Я до конца не уверен в правильности моего решения
Спасибо
Может кто-нибудь прояснить это решение? А то здесь какие-то сплошные векторы, а физика осталась неясна. По идее, нельзя делить вектор \vec H на вектор \vec L и получать число, ведь эти векторы неколлинеарны, что видно по рисунку.
Как я понимаю, угол наклона витка тут плавно меняется от некоторого φ = arccos (H/L) до 90°. Если бы он оставался постоянным, сила давления была бы везде равна mgsinφ. Но из-за изменения она становится равна mgsin^2φ = mg(1 - cos^2φ)=mg(1-1/k^2).
@arman_dx это ты так закон сохранения энергии применил?))
![]()
Я вот тоже не особо понял твоё решение.
хз че я сделал, вообще не помню)))

