1.70 из 3800 задач по физике

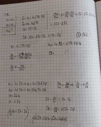
1.70. Человек бежит по движущемуся эскалатору. В первый раз он насчитал n1=50 ступенек, второй раз, двигаясь в ту же сторону со скоростью относительно эскалатора втрое большей, он насчитал n2=75 ступенек. Сколько ступенек он насчитал бы на неподвижном эскалаторе?
Решить не смог, не понимаю куда двигаться и как связать формулы


Для удобства я взял каждую ступеньку по 1 метру и считал их как расстояние, пройденное человеком. Можете пожалуйста помочь с решением

Для начала тебе нужно найти направления движения человека и эскалатора. Представить у себя в голове достаточно сложно, так что попробуй максимально написав на бумаге, через формулы довести до момента, где это будет легко понять, для этого можешь воспользоваться уравнением сложения векторов скоростей. А еще ты число ступенек которое просят найти, не правильно расписал, в формуле учитываешь лишь скорость человека относительно Земли, ты почему-то учитывал скорость эскалатора относительно Земли(либо я не понял).

2 лайка

эта же самая задача обсуждалась здесь

1 лайк