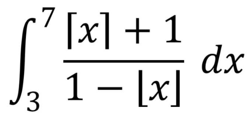
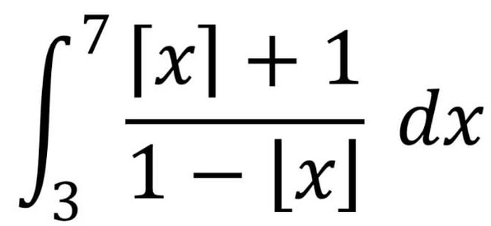
Интеграл. Скобки


В чем разница между скобками в этой дроби

загугли пол и потолок чисел

4 лайка

Я не понял если честно, можно подробнее?

ну если число лежит в промежутке n и n+1 то потолок это n+1, пол это n

1 лайк

А да точно

1 лайк