У тебя уже есть какие-то попытки решения задачи?
Думаю кольцо можно представить в виде магнитного диполя[ вот только я не смог((((] и написать циркуляция вектора H
Свою идею с магнитными диполями ты хорошо начал, но в этой задаче решение идёт через метод изображений. Эта задача примерно аналогична задаче электростатики об изображении точечного заряда рядом с диэлектрической плоскостью. Решение ниже
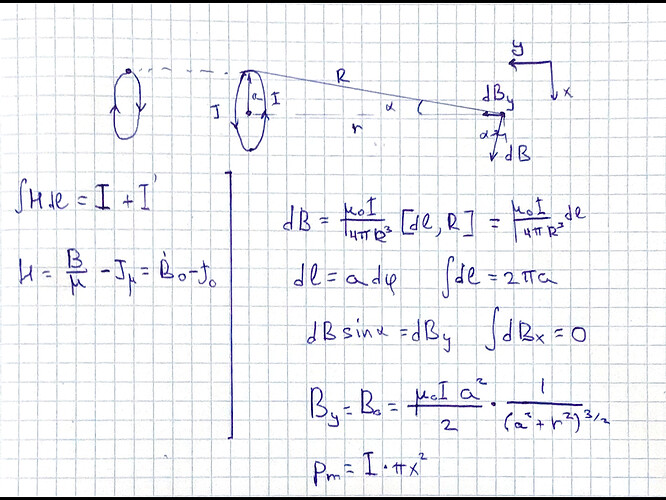
Введу магнитный момент \overrightarrow m, который создаёт поле реального кругового витка (см. рисунок ниже).
Тогда внутри магнетика располагается момент-изображение \overrightarrow{m'}, причём:
- Граница раздела вакуум-магнетик находится ровно посередине между моментами \overrightarrow m и \overrightarrow{m'}.
- Вектор \overrightarrow{m'} сонаправлен \overrightarrow m (это дело выбора направления координат, так что это необязательный пункт)
- Создаваемые ими магнитные поля рассматриваются только в вакууме.
Как описать магнитное поле внутри магнетика? Понятно, что в магнетике силовые линии магнитного поля сгущаются, причём общая форма этих линий внутри магнетика несильно отличается от силовых линий в этой же окрестности в вакууме. Для примерного понимания прикрепляю картинку:
Таким образом, нужно ввести третий магнитный момент \overrightarrow{m''}, который:
- Расположен там же, где и реальный круговой виток.
- \overrightarrow{m''} сонаправлен \overrightarrow m.
- Он описывает магнитное поле внутри магнетика (\overrightarrow m и \overrightarrow{m'} не учитываем).
С учётом всего вышеперечисленного приступим к решению задачи. Для этого напишем выражения, описывающие величину и направление магнитного поля на поверхности магнетика и запишем граничные для них условия. Пусть выбранная точка будет на расстоянии \vec r от реального кругового витка и \vec{r'} от изображения, причём
Здесь \hat x и \hat y – базисные векторы осей x и y (см. первый рисунок)
Магнитное поле трёх диполей описывается выражениями
Теперь запишем это в проекциях на x и y:
И наконец-то, запишем граничные условия. Для условия сохранения нормальной составляющей вектора \vec B (\nabla· \vec B = 0 либо B_{1n}=B_{2n}):
И непрерывности тангенциальной составляющей вектора \vec H (\oint{\vec H·d\vec l = 0 } при отсутствии токов на поверхности магнетика; H_{1t}=H_{2t}):
Таким образом:
Когда провод лежит на магнетике, то его поле равно полю эквивалентного кругового витка с m\rightarrow m+m'=m \frac{2\mu}{\mu +1} в вакууме и m \rightarrow m'' = m \frac{2\mu}{\mu +1} в магнетике. Окончательно:
Спасибо большое!!!
А откуда вы нашли это выражение?
Эта формула выводится во многих теоретических книжках. В Сивухине есть только вывод для электрического диполя (это уравнение отличается от уравнения для магнитного диполя только заменой \frac{\mu_0}{4\pi} → \frac{1}{4\pi \epsilon_0} и \vec m → \vec p, где \vec p=q\vec l - электрический момент). В Purcell есть вывод с использованием понятия векторного потенциала. Для начала можно прорешать этот листок, в нём вывод формулы идёт только с использованием закона Био-Савара-Лапласа и некоторых соображений.
Спасибо!
В Purcell есть вывод с использованием понятия векторного потенциала.
Можете сказать номер страницы?
параграф 11.3, 531 страница



